MOA-2007-BLG-149
Main| parameter | static | parallax | PSPL | FSPL |
|---|---|---|---|---|
| t0 (HJD) | 4201.96678 ± 9.20e-02 | 4202.00408 ± 2.05e-02 | 4217.54439 ± 5.07e-02 | 4216.31368 ± 2.33e-02 |
| tE(days) | 28.00 ± 1.27e-01 | 27.98 ± 5.56e-02 | -598.70 ± 3.98e+01 | 589.68 ± 5.41e+01 |
| u0 | 0.409380 ± 2.06e-03 | 0.408203 ± 5.29e-04 | 0.005271 ± 4.71e-04 | 0.001415 ± 1.72e-03 |
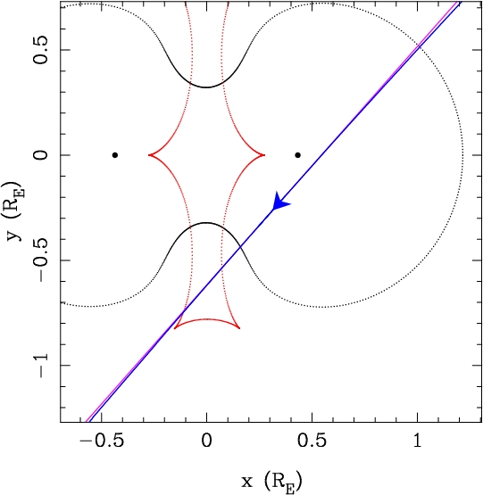
| q | 9.944082e-01 ± 7.26e-03 | 1.007389e+00 ± 8.36e-03 | ||
| s | 0.868905 ± 9.95e-04 | 0.868173 ± 2.42e-04 | ||
| α | 2.290078 ± 3.15e-03 | 2.293957 ± 1.47e-03 | ||
| ρ | 0.001109 ± 1.54e-05 | 0.001132 ± 9.12e-06 | 0.006630 ± 7.79e-04 | |
| πE | 0.000000 ± 0.00e+00 | 0.241097 ± 5.00e-02 | 0.000000 ± 0.00e+00 | 0.000000 ± 0.00e+00 |
| πEN | 0.000000 ± 0.00e+00 | -0.089100 ± 3.58e-02 | 0.000000 ± 0.00e+00 | 0.000000 ± 0.00e+00 |
| πEE | 0.000000 ± 0.00e+00 | 0.232294 ± 4.85e-02 | 0.000000 ± 0.00e+00 | 0.000000 ± 0.00e+00 |
| χE | 0.000000 ± 0.00e+00 | 0.000000 ± 0.00e+00 | 0.000000 ± 0.00e+00 | 0.000000 ± 0.00e+00 |
| ω(rad/day) | 0.000000 ± 0.00e+00 | 0.000000e+00 ± 0.00e+00 | ||
| ds/dt | 0.000000 ± 0.00e+00 | 0.000000e+00 ± 0.00e+00 | ||
| χ²/dof | 2883.950/(2276-9)= 1.272 | 2878.503/(2276-11)= 1.271 | 13468.554/(2276-5)= 5.931 | 13151.114/(2276-6)= 5.793 |
| Δχ² | -5.44695016063679 | 10584.604 | 10267.164 |
| Tel-band | Ndata | χ² | Fs | σFs | Fb | σFb | Ms(mag) | σMs | Mb(mag) | σMb |
|---|---|---|---|---|---|---|---|---|---|---|
| MOA-Red | 2276 | 2878.503050 | 2.07640e+03 | 1.49167e+01 | -2.72144e+03 | 2.53181e+01 | 15.707 | 0.008 | 0.000 | 0.000 |



| tE(day) | q | s | α(radian) | ρ | χ² |
|---|---|---|---|---|---|
| 90.672 | 3.837057e+00 | 2.176618 | 5.428180 | 0.000947 | 3076.9698 |
| -101.264 | 1.414106e+00 | 2.446602 | 3.982238 | 0.000750 | 3067.5342 |
| 44.660 | 5.008709e-02 | 1.489601 | 0.907298 | 0.002734 | 3052.0132 |
| -43.583 | 7.053165e-01 | 1.120347 | 2.848451 | 0.001708 | 3044.0751 |
| 44.840 | 4.762464e-01 | 0.825971 | 2.613196 | 0.001536 | 3041.0311 |
| 45.431 | 4.570964e-01 | 0.821955 | 2.628209 | 0.001552 | 3039.3839 |
| 50.280 | 2.481599e+00 | 0.791460 | 5.801001 | 0.001454 | 3038.7953 |
| 29.954 | 7.159402e-01 | 0.880218 | 5.451786 | 0.001002 | 3033.4014 |
| 90.134 | 2.348748e-01 | 0.649684 | 3.511747 | 0.000990 | 3027.2500 |
| -24.834 | 6.597020e-01 | 1.503541 | 3.037774 | 0.004154 | 3023.9954 |
| 64.364 | 4.003381e-01 | 0.731527 | 2.670946 | 0.001413 | 3005.6513 |
| 155.501 | 4.820921e-01 | 0.479763 | 2.743391 | 0.000649 | 2995.4756 |
| 54.743 | 4.092137e-01 | 0.782180 | 2.696095 | 0.001759 | 2983.0473 |
| 45.681 | 8.372258e-01 | 1.719482 | 2.565358 | 0.002177 | 2980.7332 |
| 32.175 | 1.508544e+00 | 1.292463 | 3.474117 | 0.002755 | 2979.1737 |
| 22.420 | 1.688948e-01 | 1.532239 | 0.493862 | 0.004125 | 2979.0585 |
| 90.735 | 4.825689e-01 | 0.629582 | 2.703258 | 0.001186 | 2977.4377 |
| 67.583 | 3.725079e-01 | 0.724525 | 3.579208 | 0.001568 | 2974.8527 |
| 362.462 | 2.328557e+00 | 4.175925 | 5.322228 | 0.000233 | 2970.7699 |
| 26.941 | 5.551644e-01 | 0.869268 | 2.403066 | 0.001065 | 2966.5760 |
| 52.127 | 3.672077e-01 | 2.064904 | 3.047819 | 0.001689 | 2965.5946 |
| 59.380 | 4.075156e-01 | 2.130943 | 3.254237 | 0.001548 | 2958.1704 |
| -21.062 | 2.210731e-01 | 1.581818 | 2.712609 | 0.004591 | 2957.8465 |
| 21.184 | 2.076891e-01 | 1.577792 | 0.427812 | 0.004544 | 2956.4681 |
| 20.998 | 2.058433e-01 | 1.574589 | 0.428957 | 0.004502 | 2955.6968 |
| 29.303 | 5.268016e-01 | 1.362162 | 5.924254 | 0.003175 | 2950.8391 |
| 22.318 | 1.884307e-01 | 1.603989 | 0.500051 | 0.004405 | 2945.3706 |
| 68.864 | 4.719731e-01 | 0.717548 | 3.584324 | 0.001798 | 2944.4490 |
| 53.478 | 2.933159e+00 | 0.842716 | 5.779202 | 0.002824 | 2935.9339 |
| 26.210 | 7.103559e-02 | 1.549596 | 5.698925 | 0.002660 | 2934.9604 |
| 28.910 | 7.938921e-01 | 1.436294 | 0.359744 | 0.004343 | 2932.2473 |
| 84.272 | 2.706291e-01 | 0.701035 | 2.784884 | 0.001874 | 2930.8466 |
| 23.172 | 1.223361e-01 | 1.638987 | 0.517525 | 0.003387 | 2907.8161 |
| 27.093 | 1.302558e+00 | 0.876141 | 5.503829 | 0.001196 | 2905.0046 |
| 25.097 | 7.180087e-01 | 1.583845 | 0.439984 | 0.002504 | 2904.3892 |
| 85.763 | 1.737772e+00 | 0.665803 | 5.850977 | 0.001628 | 2903.4458 |
| 81.782 | 2.128459e+00 | 0.687147 | 5.859798 | 0.001842 | 2898.0749 |
| 27.469 | 9.677164e-01 | 0.873943 | 0.849957 | 0.001146 | 2892.5436 |
| 21.946 | 7.756107e-02 | 1.674662 | 0.443448 | 0.002372 | 2890.0253 |
| 27.975 | 1.007389e+00 | 0.868173 | 2.293957 | 0.001132 | 2878.5030 |