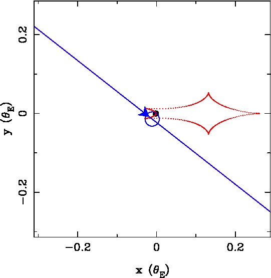
MOA-2008-BLG-087
Main| parameter | static | parallax | PSPL | FSPL |
|---|---|---|---|---|
| t0 (HJD) | 4558.72029 ± 1.53e-02 | 4558.71636 ± 1.14e-02 | 4558.77100 ± 3.07e-03 | 4558.77633 ± 3.34e-03 |
| tE(days) | 17.33 ± 9.13e-01 | 17.83 ± 1.08e+00 | 21.57 ± 1.17e+00 | 18.33 ± 8.89e-01 |
| u0 | -0.017881 ± 4.29e-03 | -0.016293 ± 4.05e-03 | 0.013736 ± 1.11e-03 | 0.025801 ± 1.68e-03 |
| q | 1.700729e-03 ± 4.39e-04 | 1.368949e-03 ± 5.04e-04 | ||
| s | 1.067961 ± 6.97e-02 | 1.055536 ± 6.25e-02 | ||
| α | 0.665583 ± 1.47e-01 | 0.628937 ± 1.14e-01 | ||
| ρ | 0.018066 ± 6.34e-03 | 0.016031 ± 4.31e-03 | 0.031396 ± 1.92e-03 | |
| πE | 0.000000 ± 0.00e+00 | 0.998835 ± 2.71e-01 | 0.000000 ± 0.00e+00 | 0.000000 ± 0.00e+00 |
| πEN | 0.000000 ± 0.00e+00 | 0.875898 ± 5.68e-01 | 0.000000 ± 0.00e+00 | 0.000000 ± 0.00e+00 |
| πEE | 0.000000 ± 0.00e+00 | 0.480077 ± 4.41e-01 | 0.000000 ± 0.00e+00 | 0.000000 ± 0.00e+00 |
| χE | 0.000000 ± 0.00e+00 | 0.000000 ± 0.00e+00 | 0.000000 ± 0.00e+00 | 0.000000 ± 0.00e+00 |
| ω(rad/day) | 0.000000 ± 0.00e+00 | 0.000000e+00 ± 0.00e+00 | ||
| ds/dt | 0.000000 ± 0.00e+00 | 0.000000e+00 ± 0.00e+00 | ||
| χ²/dof | 2380.121/(2544-9)= 0.939 | 2378.279/(2544-11)= 0.939 | 2537.465/(2544-5)= 0.999 | 2463.300/(2544-6)= 0.971 |
| Δχ² | -1.841986413227 | 157.344 | 83.179 |
| Tel-band | Ndata | χ² | Fs | σFs | Fb | σFb | Ms(mag) | σMs | Mb(mag) | σMb |
|---|---|---|---|---|---|---|---|---|---|---|
| MOA-Red | 2544 | 2463.299572 | 9.44214e+02 | 5.46553e+01 | -9.67380e+02 | 5.25215e+01 | 20.062 | 0.063 | 0.000 | 0.000 |





| t0(HJD-2450000) | tE(day) | q | s | u0 | α(radian) | ρ | χ² |
|---|---|---|---|---|---|---|---|
| 4558.727 | -17.413 | 2.588578e-03 | 1.244736 | 0.013504 | 3.653527 | 0.007634 | 2384.7798 |
| 4558.797 | 17.519 | 6.223022e-03 | 1.436885 | -0.016949 | 0.644564 | 0.003025 | 2384.7775 |
| 4558.703 | 18.634 | 1.177642e-03 | 0.822946 | 0.011172 | 5.828602 | 0.004529 | 2384.7408 |
| 4558.760 | -17.782 | 4.243412e-03 | 1.347952 | 0.014056 | 3.710003 | 0.002824 | 2384.6697 |
| 4558.726 | -17.632 | 2.447444e-03 | 1.251164 | 0.012712 | 3.647652 | 0.004094 | 2384.6255 |
| 4558.722 | -17.478 | 3.956394e-03 | 0.723923 | -0.012243 | 2.573089 | 0.002919 | 2384.6223 |
| 4558.704 | 17.853 | 1.460434e-03 | 0.810851 | -0.010801 | 0.472393 | 0.002811 | 2384.6082 |
| 4558.743 | -16.895 | 4.124490e-03 | 0.733684 | -0.023280 | 2.355726 | 0.023604 | 2384.5593 |
| 4558.724 | 17.336 | 3.992452e-03 | 0.716079 | 0.012977 | 5.711593 | 0.003000 | 2384.5471 |
| 4558.748 | 17.773 | 3.465320e-03 | 1.313028 | -0.012955 | 0.537364 | 0.002740 | 2384.5394 |
| 4558.714 | -17.546 | 1.906072e-03 | 1.203716 | -0.012337 | 2.672463 | 0.006716 | 2384.5258 |
| 4558.741 | 17.111 | 5.060995e-03 | 0.708258 | 0.023179 | 5.426194 | 0.022089 | 2384.4931 |
| 4558.719 | 18.222 | 2.009932e-03 | 1.223104 | 0.011923 | 5.803849 | 0.006123 | 2384.4894 |
| 4558.708 | -17.998 | 1.644274e-03 | 1.173664 | -0.011769 | 2.684335 | 0.008435 | 2384.4621 |
| 4558.704 | 17.721 | 1.569210e-03 | 1.178230 | -0.011510 | 0.451283 | 0.005754 | 2384.3812 |
| 4558.717 | 17.432 | 2.829980e-03 | 0.753927 | -0.012523 | 0.549338 | 0.002959 | 2384.3470 |
| 4558.700 | 17.639 | 1.467113e-03 | 1.174882 | 0.010838 | 5.849675 | 0.003614 | 2384.2826 |
| 4558.736 | -18.212 | 2.818492e-03 | 0.794824 | -0.017288 | 2.460947 | 0.017833 | 2384.2821 |
| 4558.726 | 17.416 | 2.549622e-03 | 1.254658 | 0.012734 | 5.763994 | 0.002761 | 2384.1595 |
| 4558.699 | 17.404 | 1.362711e-03 | 1.162443 | -0.011145 | 0.427048 | 0.005632 | 2384.1527 |
| 4558.721 | -17.204 | 2.437578e-03 | 1.243519 | 0.012293 | 3.626544 | 0.002659 | 2384.1366 |
| 4558.703 | 17.819 | 1.440625e-03 | 1.162117 | 0.011590 | 5.836321 | 0.007357 | 2384.0181 |
| 4558.703 | 17.586 | 1.205465e-03 | 0.816601 | -0.012395 | 0.477391 | 0.002957 | 2383.9935 |
| 4558.744 | 17.287 | 3.290360e-03 | 0.775215 | 0.022885 | 5.459285 | 0.022650 | 2383.9537 |
| 4558.714 | 17.803 | 1.815950e-03 | 1.219451 | -0.011766 | 0.465462 | 0.002746 | 2383.8305 |
| 4558.714 | -17.606 | 2.048860e-03 | 1.228967 | -0.011502 | 2.686265 | 0.002608 | 2383.7819 |
| 4558.702 | -17.871 | 9.627682e-04 | 0.855689 | 0.012385 | 3.594941 | 0.007634 | 2383.7291 |
| 4558.706 | 17.529 | 1.062160e-03 | 1.052974 | -0.013850 | 0.524750 | 0.013253 | 2383.7209 |
| 4558.700 | 18.041 | 1.200054e-03 | 1.150886 | 0.010741 | 5.870922 | 0.006600 | 2383.7058 |
| 4558.708 | 17.436 | 1.757734e-03 | 1.201063 | -0.011522 | 0.463559 | 0.002648 | 2383.6622 |
| 4558.743 | 17.032 | 3.914135e-03 | 0.751736 | -0.023626 | 0.833228 | 0.023501 | 2383.5607 |
| 4558.709 | -17.555 | 1.731400e-03 | 1.203683 | -0.011365 | 2.687347 | 0.002693 | 2383.3993 |
| 4558.682 | -17.828 | 6.089766e-04 | 1.113250 | 0.010050 | 3.517972 | 0.000157 | 2383.3846 |
| 4558.742 | 16.905 | 3.754661e-03 | 0.765421 | -0.024171 | 2.199115 | 0.024776 | 2383.3568 |
| 4558.693 | 18.248 | 8.655869e-04 | 1.109333 | -0.010893 | 0.412024 | 0.007441 | 2382.8104 |
| 4558.686 | 18.232 | 4.693034e-04 | 0.887092 | -0.010212 | 0.383502 | 0.003581 | 2382.2639 |
| 4558.725 | 18.652 | 1.626821e-03 | 0.902075 | -0.015864 | 0.659574 | 0.017075 | 2382.0969 |
| 4558.719 | -17.460 | 1.666310e-03 | 1.061300 | 0.017545 | 3.801589 | 0.017887 | 2381.7672 |
| 4558.713 | -18.076 | 1.102744e-03 | 1.044149 | -0.015038 | 2.549149 | 0.014404 | 2380.5157 |
| 4558.720 | 17.332 | 1.700729e-03 | 1.067961 | -0.017881 | 0.665583 | 0.018066 | 2380.1214 |