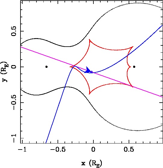
MOA-2009-BLG-311
Main| parameter | static | parallax | PSPL | FSPL |
|---|---|---|---|---|
| t0 (HJD) | 5004.73954 ± 6.95e-02 | 5021.37311 ± 7.69e-01 | 5002.56866 ± 1.83e-02 | 5002.72257 ± 1.43e-02 |
| tE(days) | -21.20 ± 4.27e-01 | 70.39 ± 2.08e+00 | -27.05 ± 2.16e+00 | 39.35 ± 5.97e-01 |
| u0 | 0.205715 ± 8.09e-04 | -0.076094 ± 7.26e-03 | 0.047920 ± 4.28e-03 | 0.042428 ± 6.16e-04 |
| q | 1.045348e+00 ± 1.70e-02 | 4.373614e+00 ± 3.67e-01 | ||
| s | 0.920499 ± 3.00e-03 | 1.233684 ± 5.45e-03 | ||
| α | 1.059734 ± 4.63e-03 | 6.621481 ± 2.97e-02 | ||
| ρ | 0.023370 ± 6.22e-04 | 0.011104 ± 5.50e-04 | 0.049744 ± 3.75e-04 | |
| πE | 0.000000 ± 0.00e+00 | 334.621448 ± 1.33e+01 | 0.000000 ± 0.00e+00 | 0.000000 ± 0.00e+00 |
| πEN | 0.000000 ± 0.00e+00 | 342.856745 ± 1.75e+01 | 0.000000 ± 0.00e+00 | 0.000000 ± 0.00e+00 |
| πEE | 0.000000 ± 0.00e+00 | 32.448311 ± 2.37e+01 | 0.000000 ± 0.00e+00 | 0.000000 ± 0.00e+00 |
| χE | 0.000000 ± 0.00e+00 | 0.000000 ± 0.00e+00 | 0.000000 ± 0.00e+00 | 0.000000 ± 0.00e+00 |
| ω(rad/day) | 0.000000 ± 0.00e+00 | 0.000000e+00 ± 0.00e+00 | ||
| ds/dt | 0.000000 ± 0.00e+00 | 0.000000e+00 ± 0.00e+00 | ||
| χ²/dof | 4492.345/(3413-9)= 1.320 | 4353.819/(3413-11)= 1.280 | 7074.684/(3413-5)= 2.076 | 6984.120/(3413-6)= 2.050 |
| Δχ² | -138.525911137556 | 2582.339 | 2491.775 |
| Tel-band | Ndata | χ² | Fs | σFs | Fb | σFb | Ms(mag) | σMs | Mb(mag) | σMb |
|---|---|---|---|---|---|---|---|---|---|---|
| MOA-Red | 3413 | 4353.277954 | 4.05519e+02 | 9.83622e+00 | -3.84648e+02 | 9.77574e+00 | 17.480 | 0.026 | 0.000 | 0.000 |
| 3413 | 4353.277954 |



| tE(day) | q | s | α(radian) | ρ | χ² |
|---|---|---|---|---|---|
| -17.654 | 2.185753e+00 | 1.301285 | 4.024510 | 0.027899 | 4445.4568 |
| -48.055 | 2.383298e-02 | 0.850357 | 2.794570 | 0.002849 | 4444.2715 |
| 22.833 | 1.911909e+00 | 0.818497 | 4.296859 | 0.021746 | 4443.9446 |
| 42.081 | 4.056579e+00 | 1.224354 | 0.415879 | 0.014549 | 4442.1033 |
| 21.940 | 1.331204e+00 | 1.001786 | 1.992086 | 0.024073 | 4442.0382 |
| 23.185 | 4.544606e-01 | 0.817309 | 1.187681 | 0.021546 | 4441.8859 |
| -24.789 | 7.905146e-01 | 1.252641 | 5.266045 | 0.020612 | 4439.9209 |
| 60.708 | 1.297043e+01 | 1.218643 | 0.212325 | 0.008950 | 4437.8158 |
| 30.252 | 5.848231e-01 | 0.940565 | 1.082955 | 0.015919 | 4435.2433 |
| 36.062 | 1.121990e+00 | 1.632016 | 5.393384 | 0.019599 | 4435.2071 |
| 24.535 | 8.177942e-01 | 1.217693 | 2.120668 | 0.020764 | 4433.6107 |
| -28.268 | 6.773210e-01 | 0.568185 | 1.061179 | 0.016530 | 4433.4043 |
| -48.024 | 4.564748e-01 | 1.022097 | 0.469615 | 0.011378 | 4432.6712 |
| -34.737 | 2.392326e+00 | 0.944945 | 1.150022 | 0.014272 | 4428.3989 |
| 20.803 | 3.114404e+00 | 1.128608 | 0.539566 | 0.027217 | 4426.2292 |
| -26.311 | 3.035714e+00 | 1.070842 | 3.632163 | 0.022265 | 4424.7068 |
| 21.758 | 9.265041e-01 | 1.212889 | 2.048754 | 0.022599 | 4424.5411 |
| -22.416 | 1.110354e+00 | 1.227498 | 5.141142 | 0.022690 | 4421.3538 |
| 40.513 | 1.488100e+00 | 1.024571 | 0.537795 | 0.017444 | 4420.2035 |
| 19.475 | 1.127901e+00 | 1.242168 | 5.152100 | 0.024122 | 4417.7467 |
| 15.761 | 3.477362e-01 | 0.804863 | 4.767674 | 0.021600 | 4415.5141 |
| 20.084 | 1.092442e+00 | 1.224441 | 1.967863 | 0.024224 | 4412.6709 |
| 20.868 | 1.345649e+00 | 1.261382 | 1.910021 | 0.023291 | 4411.9764 |
| -35.417 | 3.123021e+00 | 1.589213 | 4.116191 | 0.014654 | 4410.1470 |
| -18.218 | 9.736330e-01 | 1.206359 | 1.954893 | 0.026180 | 4408.6905 |
| 21.344 | 1.000318e+00 | 0.718115 | 4.751260 | 0.001292 | 4406.9412 |
| -21.004 | 1.603293e+00 | 1.240404 | 5.008121 | 0.023429 | 4404.5948 |
| 16.306 | 7.671332e-01 | 1.124510 | 5.002287 | 0.028836 | 4402.3175 |
| -19.199 | 1.520965e+00 | 1.192063 | 4.995300 | 0.025719 | 4397.9961 |
| 10.541 | 4.402724e-01 | 0.808749 | 4.651258 | 0.039864 | 4397.2179 |
| 17.703 | 6.939489e-01 | 1.155958 | 4.990208 | 0.027883 | 4396.4947 |
| 19.525 | 1.847206e+00 | 1.173610 | 1.796229 | 0.025829 | 4394.6731 |
| -40.792 | 2.313906e+00 | 1.657545 | 2.656536 | 0.025002 | 4394.2797 |
| 12.188 | 1.762047e+00 | 0.797541 | 1.655307 | 0.030350 | 4387.9612 |
| 44.267 | 6.413107e-01 | 0.698311 | 4.909818 | 0.002201 | 4377.8807 |
| 11.334 | 4.975960e-01 | 0.804829 | 4.728583 | 0.033935 | 4376.1060 |
| 15.165 | 2.236600e-01 | 0.829610 | 4.530399 | 0.026243 | 4362.2590 |
| 11.923 | 2.554885e+00 | 0.909769 | 1.516537 | 0.034865 | 4361.2026 |
| 14.981 | 3.359152e+00 | 0.989639 | 1.496519 | 0.027269 | 4354.7555 |
| 70.385 | 4.373614e+00 | 1.233684 | 6.621481 | 0.011104 | 4353.8191 |