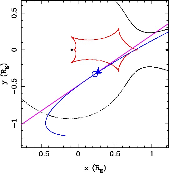
MOA-2009-BLG-420
Main| parameter | static | parallax | PSPL | FSPL |
|---|---|---|---|---|
| t0 (HJD) | 5058.76941 ± 1.85e-01 | 5057.43544 ± 1.38e-01 | 5052.46854 ± 5.61e-02 | 5052.45668 ± 5.73e-02 |
| tE(days) | 30.73 ± 4.47e-01 | 11.45 ± 3.12e-01 | -16.28 ± 1.34e+00 | 16.44 ± 1.13e+00 |
| u0 | 0.174564 ± 2.15e-04 | 0.401166 ± 6.62e-03 | 0.129722 ± 1.62e-02 | 0.128967 ± 1.56e-02 |
| q | 1.415032e+00 ± 9.10e-02 | 1.262261e-01 ± 8.01e-03 | ||
| s | 1.557734 ± 7.81e-03 | 1.294047 ± 8.95e-03 | ||
| α | 0.755086 ± 7.81e-03 | 2.539184 ± 2.04e-02 | ||
| ρ | 0.005446 ± 8.95e-04 | 0.037541 ± 3.33e-03 | 0.017491 ± 1.54e-02 | |
| πE | 0.000000 ± 0.00e+00 | 18.013889 ± 1.14e+00 | 0.000000 ± 0.00e+00 | 0.000000 ± 0.00e+00 |
| πEN | 0.000000 ± 0.00e+00 | 4.147150 ± 3.36e-01 | 0.000000 ± 0.00e+00 | 0.000000 ± 0.00e+00 |
| πEE | 0.000000 ± 0.00e+00 | -18.255335 ± 1.17e+00 | 0.000000 ± 0.00e+00 | 0.000000 ± 0.00e+00 |
| χE | 0.000000 ± 0.00e+00 | 0.000000 ± 0.00e+00 | 0.000000 ± 0.00e+00 | 0.000000 ± 0.00e+00 |
| ω(rad/day) | 0.000000 ± 0.00e+00 | 0.000000e+00 ± 0.00e+00 | ||
| ds/dt | 0.000000 ± 0.00e+00 | 0.000000e+00 ± 0.00e+00 | ||
| χ²/dof | 8143.776/(6743-9)= 1.209 | 8066.719/(6743-11)= 1.198 | 8799.519/(6743-5)= 1.306 | 8799.043/(6743-6)= 1.306 |
| Δχ² | -77.0566221928302 | 655.743 | 655.267 |
| Tel-band | Ndata | χ² | Fs | σFs | Fb | σFb | Ms(mag) | σMs | Mb(mag) | σMb |
|---|---|---|---|---|---|---|---|---|---|---|
| MOA-Red | 6743 | 8066.770592 | 1.50811e+03 | 2.10820e+01 | -1.43900e+03 | 2.12956e+01 | 16.054 | 0.015 | 0.000 | 0.000 |
| 6743 | 8066.770592 |



| tE(day) | q | s | α(radian) | ρ | χ² |
|---|---|---|---|---|---|
| 29.165 | 5.530463e-01 | 1.295440 | 1.203023 | 0.002936 | 8091.8018 |
| 30.325 | 1.205615e+00 | 1.295867 | 1.885639 | 0.002691 | 8089.6503 |
| 29.008 | 3.907831e-01 | 1.149733 | 5.310833 | 0.002621 | 8089.4819 |
| 26.080 | 1.495029e+00 | 1.114670 | 0.862237 | 0.022089 | 8089.1731 |
| -8.741 | 5.686672e-01 | 1.921821 | 3.755317 | 0.029637 | 8088.0467 |
| -8.537 | 1.908530e+00 | 1.935143 | 0.597748 | 0.000763 | 8087.9343 |
| 10.350 | 2.200452e-01 | 0.975771 | 0.225168 | 0.049472 | 8086.6161 |
| 11.023 | 7.803588e-01 | 1.016438 | 3.683138 | 0.049850 | 8084.6306 |
| 22.275 | 1.627198e-01 | 1.255549 | 5.582548 | 0.016525 | 8084.5967 |
| -13.507 | 1.382793e-01 | 0.927968 | 3.398070 | 0.039540 | 8084.2546 |
| 13.437 | 1.146754e-01 | 0.946603 | 0.274896 | 0.025735 | 8083.8010 |
| 10.076 | 1.026404e+00 | 1.461234 | 2.416100 | 0.049853 | 8083.7766 |
| 9.483 | 5.374993e-01 | 0.575088 | 4.592281 | 0.049619 | 8083.6442 |
| 11.939 | 6.716734e-01 | 0.985863 | 2.647480 | 0.049906 | 8083.3827 |
| 7.127 | 6.571411e-01 | 1.730813 | 2.237020 | 0.002505 | 8081.2376 |
| -13.619 | 7.816394e-02 | 0.951890 | 3.392740 | 0.026271 | 8080.9594 |
| -22.363 | 1.094586e+00 | 1.015178 | 4.130153 | 0.023789 | 8080.7606 |
| 6.204 | 2.858163e-01 | 1.768846 | 3.887825 | 0.014172 | 8079.8182 |
| -6.153 | 2.933189e-01 | 1.761651 | 0.728575 | 0.016005 | 8079.6983 |
| 5.632 | 3.449830e-01 | 1.725432 | 2.509344 | 0.013590 | 8079.5056 |
| -5.676 | 3.451389e-01 | 1.719565 | 5.653990 | 0.012846 | 8079.4785 |
| -6.187 | 2.956049e-01 | 1.748637 | 0.727564 | 0.048703 | 8079.3639 |
| 5.683 | 3.692122e-01 | 1.718153 | 2.535701 | 0.016422 | 8079.3249 |
| 5.693 | 3.550741e-01 | 1.716376 | 2.519045 | 0.032855 | 8079.1850 |
| 6.318 | 3.177120e-01 | 1.756139 | 2.427912 | 0.045016 | 8079.1309 |
| 13.324 | 1.241535e-01 | 0.931519 | 0.254155 | 0.035967 | 8079.0635 |
| 22.026 | 1.088042e+00 | 1.001493 | 5.268529 | 0.023880 | 8078.6973 |
| 22.264 | 1.084295e+00 | 1.007003 | 5.279325 | 0.024839 | 8078.2551 |
| 22.380 | 9.991897e-01 | 1.006037 | 5.251435 | 0.025599 | 8078.1533 |
| -14.081 | 1.828950e-01 | 1.149390 | 0.693672 | 0.041871 | 8073.8621 |
| -12.005 | 1.204035e-01 | 0.898503 | 2.860583 | 0.012237 | 8073.1652 |
| -12.251 | 1.156703e-01 | 0.901348 | 3.411856 | 0.011915 | 8072.6095 |
| -8.382 | 4.457607e-01 | 2.785353 | 3.432472 | 0.031228 | 8072.5392 |
| 12.303 | 8.752307e-02 | 0.906096 | 5.990025 | 0.007266 | 8069.6297 |
| 12.863 | 2.314155e-01 | 1.120326 | 2.536219 | 0.044578 | 8068.4815 |
| 10.040 | 1.482614e-01 | 0.575070 | 2.049151 | 0.043953 | 8067.7975 |
| 6.804 | 6.556695e-01 | 3.020150 | 0.345321 | 0.009808 | 8067.6841 |
| 6.683 | 6.833951e-01 | 3.009417 | 0.353901 | 0.041751 | 8067.4617 |
| -11.303 | 1.544029e-01 | 0.579338 | 5.189956 | 0.034353 | 8067.2956 |
| 11.450 | 1.262261e-01 | 1.294047 | 2.539184 | 0.037541 | 8066.7194 |