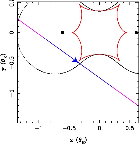
MOA-2012-BLG-227
Main| parameter | static | parallax | PSPL | FSPL |
|---|---|---|---|---|
| t0 (HJD) | 6040.99258 ± 1.13e+00 | 6059.88474 ± 1.16e+01 | 6041.34687 ± 7.47e-02 | 6041.37894 ± 8.35e-02 |
| tE(days) | -86.23 ± 8.49e+00 | -96.51 ± 8.00e+00 | 599.45 ± 6.51e+01 | 596.08 ± 9.82e+01 |
| u0 | 0.603894 ± 1.63e-02 | 0.656464 ± 1.65e-02 | -0.002652 ± 5.19e-04 | -0.003733 ± 1.20e-03 |
| q | 1.001900e+00 ± 2.05e-01 | 3.005722e+00 ± 6.78e-01 | ||
| s | 1.219213 ± 3.06e-02 | 1.391210 ± 8.08e-02 | ||
| α | 3.764181 ± 3.47e-02 | 3.844674 ± 5.01e-02 | ||
| ρ | 0.009979 ± 2.79e-03 | 0.000211 ± 3.85e-03 | 0.003846 ± 1.25e-03 | |
| πE | 0.000000 ± 0.00e+00 | 0.605925 ± 2.55e-01 | 0.000000 ± 0.00e+00 | 0.000000 ± 0.00e+00 |
| πEN | 0.000000 ± 0.00e+00 | -0.518926 ± 1.63e-01 | 0.000000 ± 0.00e+00 | 0.000000 ± 0.00e+00 |
| πEE | 0.000000 ± 0.00e+00 | -0.312826 ± 2.97e-01 | 0.000000 ± 0.00e+00 | 0.000000 ± 0.00e+00 |
| χE | 0.000000 ± 0.00e+00 | 0.000000 ± 0.00e+00 | 0.000000 ± 0.00e+00 | 0.000000 ± 0.00e+00 |
| ω(rad/day) | 0.000000 ± 0.00e+00 | 0.000000e+00 ± 0.00e+00 | ||
| ds/dt | 0.000000 ± 0.00e+00 | 0.000000e+00 ± 0.00e+00 | ||
| χ²/dof | 8000.340/(10258-9)= 0.781 | 7993.461/(10258-11)= 0.780 | 8224.799/(10258-5)= 0.802 | 8210.787/(10258-6)= 0.801 |
| Δχ² | -6.87912521070302 | 224.459 | 210.447 |
| Tel-band | Ndata | χ² | Fs | σFs | Fb | σFb | Ms(mag) | σMs | Mb(mag) | σMb |
|---|---|---|---|---|---|---|---|---|---|---|
| MOA-Red | 10258 | 8000.339780 | 3.76944e+02 | 4.02968e+01 | -3.77684e+02 | 4.04064e+01 | 21.059 | 0.116 | 0.000 | 0.000 |





| t0(HJD-2450000) | tE(day) | q | s | u0 | α(radian) | ρ | χ² |
|---|---|---|---|---|---|---|---|
| 6045.355 | 90.726 | 1.008730e+00 | 1.261167 | 0.593965 | 2.542638 | 0.008955 | 8000.9918 |
| 6040.401 | 84.306 | 8.836633e-01 | 1.203464 | -0.600616 | 0.610927 | 0.009435 | 8000.9495 |
| 6042.096 | -88.212 | 8.843799e-01 | 1.236261 | 0.591334 | 3.762738 | 0.007359 | 8000.9029 |
| 6039.199 | 92.227 | 9.706731e-01 | 1.230161 | 0.602338 | 2.470485 | 0.009212 | 8000.8744 |
| 6045.526 | -89.020 | 8.882089e-01 | 1.263160 | 0.582189 | 3.732438 | 0.009768 | 8000.8471 |
| 6042.589 | 92.004 | 9.374227e-01 | 1.254435 | 0.590569 | 5.644263 | 0.009352 | 8000.8235 |
| 6042.925 | -84.942 | 1.113133e+00 | 1.242726 | -0.608580 | 2.519622 | 0.006996 | 8000.8224 |
| 6045.264 | 85.519 | 1.065804e+00 | 1.264987 | 0.601060 | 5.677475 | 0.008320 | 8000.7936 |
| 6043.118 | 89.743 | 9.849652e-01 | 1.252928 | -0.597686 | 0.628405 | 0.007477 | 8000.7634 |
| 6041.596 | 84.767 | 9.410389e-01 | 1.217537 | 0.599587 | 5.675678 | 0.010624 | 8000.7601 |
| 6042.238 | 85.409 | 9.328794e-01 | 1.231512 | -0.607845 | 3.759958 | 0.008142 | 8000.7145 |
| 6042.346 | -90.572 | 9.301942e-01 | 1.232232 | 0.595633 | 3.754923 | 0.007734 | 8000.7070 |
| 6045.119 | -91.138 | 1.116608e+00 | 1.264198 | -0.583877 | 5.680570 | 0.008470 | 8000.6969 |
| 6041.827 | 85.846 | 1.042757e+00 | 1.228913 | -0.600957 | 3.760163 | 0.007815 | 8000.6673 |
| 6043.526 | 88.762 | 1.003671e+00 | 1.253104 | 0.598171 | 5.661928 | 0.007871 | 8000.6646 |
| 6038.679 | -85.743 | 9.724560e-01 | 1.199357 | -0.606505 | 2.502979 | 0.009813 | 8000.6298 |
| 6042.870 | 91.050 | 9.598555e-01 | 1.258042 | 0.592973 | 5.643101 | 0.008559 | 8000.6182 |
| 6043.122 | -89.935 | 1.026891e+00 | 1.248347 | 0.601608 | 3.765979 | 0.006814 | 8000.6106 |
| 6043.571 | -86.221 | 8.834139e-01 | 1.250726 | 0.607095 | 0.622628 | 0.008234 | 8000.6021 |
| 6043.194 | -83.810 | 9.362370e-01 | 1.234422 | 0.603994 | 0.602986 | 0.010746 | 8000.5839 |
| 6039.709 | -85.785 | 9.721373e-01 | 1.211846 | 0.605016 | 3.777972 | 0.008654 | 8000.5833 |
| 6044.078 | 83.505 | 9.859969e-01 | 1.241362 | 0.600170 | 2.549505 | 0.009870 | 8000.5667 |
| 6041.441 | 90.136 | 9.280458e-01 | 1.231874 | 0.595703 | 5.653491 | 0.009334 | 8000.5637 |
| 6042.393 | -86.932 | 9.364104e-01 | 1.234571 | 0.606247 | 0.619806 | 0.008064 | 8000.5605 |
| 6041.109 | 86.798 | 1.052907e+00 | 1.220831 | -0.605805 | 0.624056 | 0.010915 | 8000.5411 |
| 6043.757 | -88.364 | 9.723876e-01 | 1.254385 | 0.593092 | 3.759149 | 0.009734 | 8000.5121 |
| 6043.393 | 88.578 | 1.005223e+00 | 1.252905 | 0.597627 | 5.658669 | 0.008568 | 8000.4927 |
| 6043.384 | 89.676 | 1.037093e+00 | 1.246827 | 0.595647 | 2.527056 | 0.007662 | 8000.4894 |
| 6042.741 | -88.787 | 9.678633e-01 | 1.238624 | -0.602139 | 5.665016 | 0.009429 | 8000.4859 |
| 6043.506 | -88.514 | 9.559747e-01 | 1.247053 | 0.594886 | 3.753386 | 0.008955 | 8000.4542 |
| 6042.389 | 87.198 | 1.082552e+00 | 1.240189 | -0.605689 | 0.628579 | 0.008663 | 8000.4402 |
| 6041.435 | -85.383 | 1.011966e+00 | 1.223990 | 0.602407 | 0.619829 | 0.009717 | 8000.4387 |
| 6043.294 | 88.852 | 9.941184e-01 | 1.249598 | -0.598667 | 3.763143 | 0.009001 | 8000.4368 |
| 6042.240 | -89.038 | 9.912866e-01 | 1.239461 | 0.597853 | 3.768802 | 0.009636 | 8000.4333 |
| 6041.433 | 86.647 | 9.850883e-01 | 1.225552 | -0.602263 | 3.764855 | 0.010330 | 8000.4330 |
| 6043.634 | 89.843 | 1.000000e+00 | 1.258925 | 0.596004 | 2.513274 | 0.008526 | 8000.4254 |
| 6043.640 | 89.984 | 1.000000e+00 | 1.258925 | -0.595913 | 0.628319 | 0.008613 | 8000.4216 |
| 6043.590 | -86.887 | 1.019504e+00 | 1.246672 | 0.596286 | 0.609717 | 0.009262 | 8000.4163 |
| 6043.423 | 84.750 | 1.044470e+00 | 1.239580 | 0.602381 | 5.678456 | 0.009948 | 8000.4038 |
| 6040.993 | -86.226 | 1.001900e+00 | 1.219213 | 0.603894 | 3.764181 | 0.009979 | 8000.3398 |