MOA-2014-BLG-056 / OGLE-2014-BLG-0159
Main| parameter | static | parallax | PSPL | FSPL |
|---|---|---|---|---|
| t0 (HJD) | 6722.26627 ± 1.08e-01 | 6722.24633 ± 1.28e-01 | 6717.98220 ± 4.67e-03 | 6717.98293 ± 3.99e-03 |
| tE(days) | 12.65 ± 2.25e-01 | 12.70 ± 2.10e-01 | -110.19 ± 1.22e+01 | -109.22 ± 8.76e+00 |
| u0 | 0.061048 ± 9.41e-03 | 0.058158 ± 1.06e-02 | -0.001690 ± 1.85e-04 | 0.001805 ± 1.63e-04 |
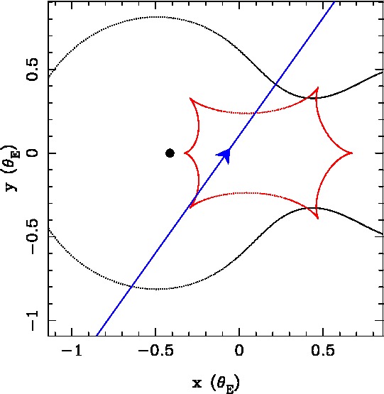
| q | 4.525634e-01 ± 2.80e-02 | 4.423232e-01 ± 2.85e-02 | ||
| s | 1.328913 ± 9.94e-03 | 1.327834 ± 9.90e-03 | ||
| α | 5.331530 ± 2.24e-02 | 5.331313 ± 1.75e-02 | ||
| ρ | 0.002264 ± 2.22e-04 | 0.002087 ± 8.30e-04 | 0.001177 ± 1.37e-04 | |
| πE | 0.000000 ± 0.00e+00 | 0.403348 ± 3.10e-01 | 0.000000 ± 0.00e+00 | 0.000000 ± 0.00e+00 |
| πEN | 0.000000 ± 0.00e+00 | -0.402582 ± 5.04e-01 | 0.000000 ± 0.00e+00 | 0.000000 ± 0.00e+00 |
| πEE | 0.000000 ± 0.00e+00 | -0.024847 ± 6.01e-01 | 0.000000 ± 0.00e+00 | 0.000000 ± 0.00e+00 |
| χE | 0.000000 ± 0.00e+00 | 0.000000 ± 0.00e+00 | 0.000000 ± 0.00e+00 | 0.000000 ± 0.00e+00 |
| ω(rad/day) | 0.000000 ± 0.00e+00 | 0.000000e+00 ± 0.00e+00 | ||
| ds/dt | 0.000000 ± 0.00e+00 | 0.000000e+00 ± 0.00e+00 | ||
| χ²/dof | 16561.283/(9553-11)= 1.736 | 16561.175/(9553-13)= 1.736 | 26026.827/(9553-7)= 2.726 | 26015.912/(9553-8)= 2.726 |
| Δχ² | -0.107741580522998 | 9465.544 | 9454.629 |
| Tel-band | Ndata | χ² | Fs | σFs | Fb | σFb | Ms(mag) | σMs | Mb(mag) | σMb |
|---|---|---|---|---|---|---|---|---|---|---|
| MOA-Red | 8318 | 13662.244825 | 1.06318e+03 | 3.35034e+01 | -1.06193e+03 | 3.35743e+01 | 19.933 | 0.034 | 0.000 | 0.000 |
| OGLE-I | 1235 | 2899.037962 | 6.13302e+01 | 1.83040e+00 | 1.56158e+01 | 1.82829e+00 | 19.531 | 0.032 | 21.016 | 0.127 |



| t0(HJD-2450000) | tE(day) | q | s | u0 | α(radian) | ρ | χ² |
|---|---|---|---|---|---|---|---|
| 6719.562 | -11.371 | 2.823004e-01 | 1.325092 | -0.141421 | 3.021349 | 0.006563 | 16777.7071 |
| 6719.557 | -11.339 | 2.794826e-01 | 1.325493 | 0.140959 | 3.252796 | 0.007523 | 16777.6500 |
| 6719.560 | 11.412 | 2.805380e-01 | 1.323300 | -0.141580 | 0.115853 | 0.006633 | 16777.6427 |
| 6719.537 | 11.457 | 2.759575e-01 | 1.320942 | 0.141163 | 6.166435 | 0.007561 | 16777.6076 |
| 6719.550 | -11.344 | 2.780111e-01 | 1.325803 | 0.141512 | 3.254044 | 0.007515 | 16777.5230 |
| 6719.531 | -11.389 | 2.739381e-01 | 1.324671 | 0.140525 | 3.255912 | 0.007114 | 16777.4662 |
| 6719.552 | -11.319 | 2.785112e-01 | 1.326772 | 0.139765 | 3.253462 | 0.007475 | 16777.3791 |
| 6719.560 | -11.326 | 2.789901e-01 | 1.326395 | -0.140491 | 3.031960 | 0.006468 | 16777.3681 |
| 6719.544 | 11.318 | 2.768904e-01 | 1.327048 | 0.139961 | 6.170576 | 0.007579 | 16777.3471 |
| 6719.552 | 11.333 | 2.778273e-01 | 1.326398 | 0.140667 | 6.170899 | 0.006216 | 16777.3346 |
| 6719.571 | -11.264 | 2.828847e-01 | 1.329625 | -0.140661 | 3.027558 | 0.006781 | 16777.3169 |
| 6719.554 | 11.430 | 2.789507e-01 | 1.322405 | -0.142068 | 0.114964 | 0.006611 | 16777.2996 |
| 6719.542 | 11.384 | 2.768923e-01 | 1.324215 | -0.140403 | 0.114770 | 0.007259 | 16777.2906 |
| 6719.537 | -11.357 | 2.756201e-01 | 1.325392 | -0.140461 | 3.027914 | 0.007425 | 16777.2832 |
| 6719.566 | -11.259 | 2.804970e-01 | 1.329773 | 0.140077 | 3.252221 | 0.006349 | 16777.2431 |
| 6719.554 | 11.323 | 2.786097e-01 | 1.326590 | -0.140871 | 0.111045 | 0.006831 | 16777.1725 |
| 6719.577 | 11.324 | 2.837016e-01 | 1.327325 | -0.141683 | 0.114986 | 0.006358 | 16777.1676 |
| 6719.550 | 11.343 | 2.776380e-01 | 1.326139 | 0.140213 | 6.171309 | 0.006995 | 16777.1646 |
| 6719.556 | -11.336 | 2.786624e-01 | 1.326460 | 0.140454 | 3.253208 | 0.006881 | 16777.1237 |
| 6719.566 | 11.316 | 2.818594e-01 | 1.327229 | 0.140663 | -0.114477 | 0.007121 | 16777.1229 |
| 6719.550 | 11.365 | 2.776803e-01 | 1.325438 | 0.140894 | -0.113356 | 0.006634 | 16777.0891 |
| 6719.560 | -11.298 | 2.804014e-01 | 1.327895 | 0.140212 | 3.254172 | 0.007147 | 16777.0888 |
| 6719.543 | 11.396 | 2.770044e-01 | 1.323734 | -0.141214 | 0.115061 | 0.006929 | 16777.0857 |
| 6719.545 | 11.358 | 2.770763e-01 | 1.325723 | -0.140355 | 0.113751 | 0.006788 | 16777.0792 |
| 6719.566 | 11.308 | 2.809121e-01 | 1.327526 | -0.140508 | 0.112334 | 0.006341 | 16777.0782 |
| 6719.556 | 11.402 | 2.789918e-01 | 1.323968 | 0.141545 | 6.168504 | 0.006450 | 16777.0078 |
| 6721.707 | 18.075 | 1.847504e-01 | 1.369149 | 0.007011 | 0.751766 | 0.000338 | 16728.6470 |
| 6725.728 | 19.343 | 7.793954e-01 | 1.617174 | 0.331269 | 5.198707 | 0.000480 | 16715.8481 |
| 6722.651 | -22.259 | 2.047112e-01 | 1.405505 | -0.054803 | 2.165350 | 0.000918 | 16673.6601 |
| 6722.631 | 17.811 | 2.733461e-01 | 1.422669 | 0.037776 | 5.443528 | 0.002027 | 16664.3612 |
| 6722.584 | 15.457 | 3.477282e-01 | 1.394015 | 0.053568 | 5.396103 | 0.002308 | 16617.6576 |
| 6722.790 | -16.989 | 3.486223e-01 | 1.393153 | 0.102156 | 4.186707 | 0.001324 | 16613.1607 |
| 6721.697 | 13.275 | 3.039361e-01 | 1.318636 | -0.010675 | 0.855186 | 0.002324 | 16596.9539 |
| 6722.022 | 13.262 | 3.569993e-01 | 1.331612 | -0.033358 | 0.896818 | 0.000300 | 16580.2767 |
| 6722.457 | 12.525 | 5.215946e-01 | 1.329809 | -0.086077 | 0.995733 | 0.002188 | 16566.9999 |
| 6722.393 | -12.770 | 4.795712e-01 | 1.333269 | -0.075542 | 2.165240 | 0.002400 | 16563.6733 |
| 6722.378 | 12.690 | 4.782252e-01 | 1.334365 | 0.070833 | 5.320351 | 0.002455 | 16562.7343 |
| 6722.186 | 12.528 | 4.425631e-01 | 1.320087 | 0.057084 | 5.328010 | 0.002012 | 16561.5074 |
| 6722.205 | 12.618 | 4.395189e-01 | 1.324372 | -0.056426 | 0.948922 | 0.002114 | 16561.3468 |
| 6722.266 | 12.651 | 4.525634e-01 | 1.328913 | 0.061048 | 5.331530 | 0.002264 | 16561.2828 |