MOA-2014-BLG-405 / OGLE-2014-BLG-1479
Main| parameter | static | parallax | PSPL | FSPL |
|---|---|---|---|---|
| t0 (HJD) | 6842.75702 ± 2.02e+00 | 6837.71590 ± 1.52e+00 | 6858.22108 ± 1.23e-02 | 6857.89523 ± 1.88e-02 |
| tE(days) | 56.32 ± 1.28e+00 | 61.27 ± 1.69e+00 | 599.44 ± 3.27e+01 | 599.36 ± 3.27e+01 |
| u0 | -0.481842 ± 8.38e-03 | 0.444126 ± 1.16e-02 | -0.001129 ± 7.20e-05 | -0.000849 ± 8.89e-04 |
| q | 1.381782e+00 ± 7.08e-02 | 1.189951e+00 ± 7.34e-02 | ||
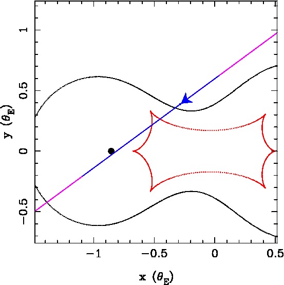
| s | 1.475042 ± 2.27e-02 | 1.510038 ± 1.52e-02 | ||
| α | 2.506660 ± 1.79e-02 | 3.650782 ± 2.94e-02 | ||
| ρ | 0.004039 ± 2.80e-04 | 0.003766 ± 2.63e-04 | 0.002374 ± 1.59e-04 | |
| πE | 0.000000 ± 0.00e+00 | 0.995605 ± 2.20e-01 | 0.000000 ± 0.00e+00 | 0.000000 ± 0.00e+00 |
| πEN | 0.000000 ± 0.00e+00 | -0.974818 ± 2.32e-01 | 0.000000 ± 0.00e+00 | 0.000000 ± 0.00e+00 |
| πEE | 0.000000 ± 0.00e+00 | 0.202384 ± 1.42e-01 | 0.000000 ± 0.00e+00 | 0.000000 ± 0.00e+00 |
| χE | 0.000000 ± 0.00e+00 | 0.000000 ± 0.00e+00 | 0.000000 ± 0.00e+00 | 0.000000 ± 0.00e+00 |
| ω(rad/day) | 0.000000 ± 0.00e+00 | 0.000000e+00 ± 0.00e+00 | ||
| ds/dt | 0.000000 ± 0.00e+00 | 0.000000e+00 ± 0.00e+00 | ||
| χ²/dof | 10092.451/(9926-11)= 1.018 | 10084.462/(9926-13)= 1.017 | 13697.835/(9926-7)= 1.381 | 13468.658/(9926-8)= 1.358 |
| Δχ² | -7.98863063144199 | 3605.384 | 3376.207 |
| Tel-band | Ndata | χ² | Fs | σFs | Fb | σFb | Ms(mag) | σMs | Mb(mag) | σMb |
|---|---|---|---|---|---|---|---|---|---|---|
| MOA-Red | 8651 | 7692.407242 | 7.72733e+02 | 1.78158e+01 | -7.74121e+02 | 1.81406e+01 | 20.280 | 0.025 | 0.000 | 0.000 |
| OGLE-I | 1275 | 2400.043672 | 2.01005e+01 | 4.59442e-01 | 4.81095e+01 | 4.62858e-01 | 20.742 | 0.025 | 19.794 | 0.010 |



| t0(HJD-2450000) | tE(day) | q | s | u0 | α(radian) | ρ | χ² |
|---|---|---|---|---|---|---|---|
| 6867.015 | 105.401 | 5.404246e-01 | 0.603453 | 0.104785 | 3.968702 | 0.001444 | 10121.5240 |
| 6866.409 | 113.555 | 5.554902e-01 | 0.579019 | -0.096380 | 2.343504 | 0.001321 | 10121.3481 |
| 6866.657 | 118.046 | 4.900401e-01 | 0.582104 | 0.094379 | 3.949056 | 0.001273 | 10121.3211 |
| 6866.876 | 107.125 | 5.330615e-01 | 0.599513 | 0.103082 | 3.961968 | 0.001341 | 10121.2154 |
| 6867.039 | 111.409 | 4.992405e-01 | 0.596601 | -0.099755 | 2.312755 | 0.001373 | 10121.1587 |
| 6867.027 | 108.439 | 1.983231e+00 | 0.602019 | 0.102249 | 0.829065 | 0.001364 | 10121.1405 |
| 6866.699 | 113.694 | 1.890115e+00 | 0.583807 | -0.096505 | 5.468738 | 0.001322 | 10121.0858 |
| 6866.635 | 109.143 | 5.422758e-01 | 0.592435 | -0.101068 | 2.334210 | 0.001345 | 10121.0106 |
| 6846.670 | 63.036 | 8.366749e-01 | 1.474091 | 0.424199 | 3.814230 | 0.003767 | 10120.5170 |
| 6851.438 | 56.798 | 1.213637e+00 | 1.388823 | 0.416634 | 0.682570 | 0.004400 | 10119.6360 |
| 6847.747 | 59.135 | 8.863507e-01 | 1.444818 | -0.426607 | 2.482921 | 0.003646 | 10114.0204 |
| 6848.836 | 55.059 | 9.598133e-01 | 1.412169 | -0.446084 | 5.616616 | 0.004477 | 10103.8186 |
| 6842.587 | 58.042 | 1.193444e+00 | 1.489882 | 0.464325 | 3.764876 | 0.000366 | 10103.6508 |
| 6847.630 | 56.768 | 1.021491e+00 | 1.434762 | 0.445454 | 3.804692 | 0.004222 | 10102.3487 |
| 6847.683 | 56.103 | 9.577861e-01 | 1.429489 | 0.446814 | 0.657227 | 0.004181 | 10102.2274 |
| 6846.747 | 56.720 | 1.020205e+00 | 1.442299 | -0.441253 | 2.502023 | 0.004233 | 10101.7098 |
| 6845.822 | 57.927 | 1.035031e+00 | 1.456796 | -0.445587 | 2.500183 | 0.004080 | 10101.0452 |
| 6843.411 | 56.910 | 1.254059e+00 | 1.473091 | 0.469913 | 3.772678 | 0.001419 | 10100.2887 |
| 6846.453 | 55.584 | 1.143964e+00 | 1.437490 | -0.456678 | 2.496429 | 0.004325 | 10098.2988 |
| 6843.607 | 58.468 | 1.165918e+00 | 1.482863 | 0.465311 | 3.786027 | 0.003941 | 10097.6797 |
| 6845.286 | 56.714 | 1.143475e+00 | 1.458983 | -0.459389 | 2.495534 | 0.004182 | 10097.2783 |
| 6845.699 | 56.073 | 1.162024e+00 | 1.449906 | -0.460098 | 2.495144 | 0.004349 | 10096.4874 |
| 6840.028 | 57.637 | 6.337484e-01 | 1.501773 | 0.503995 | 0.639021 | 0.003984 | 10095.2067 |
| 6844.543 | 56.513 | 7.967773e-01 | 1.459977 | 0.471303 | 0.646977 | 0.004087 | 10094.7573 |
| 6844.911 | 55.554 | 1.280672e+00 | 1.450799 | -0.471071 | 2.498760 | 0.004274 | 10094.3270 |
| 6843.268 | 54.950 | 1.465769e+00 | 1.459500 | -0.484291 | 2.509904 | 0.004200 | 10094.3229 |
| 6844.152 | 55.449 | 1.335440e+00 | 1.458354 | 0.476099 | 3.780720 | 0.004067 | 10093.5544 |
| 6843.434 | 55.887 | 1.351400e+00 | 1.464600 | -0.476224 | 2.511294 | 0.004118 | 10093.5031 |
| 6842.484 | 56.836 | 7.191622e-01 | 1.478732 | -0.484467 | 5.645127 | 0.003902 | 10092.9276 |
| 6843.135 | -56.557 | 1.363761e+00 | 1.473342 | -0.482706 | 0.643861 | 0.004053 | 10092.8504 |
| 6842.401 | 56.708 | 1.350998e+00 | 1.479499 | 0.477625 | 3.767167 | 0.004030 | 10092.8496 |
| 6842.128 | 56.405 | 1.432646e+00 | 1.480960 | -0.486878 | 2.507166 | 0.003959 | 10092.7603 |
| 6843.089 | 55.886 | 1.376129e+00 | 1.470528 | 0.480067 | 3.775439 | 0.004074 | 10092.7405 |
| 6843.166 | 56.041 | 1.364037e+00 | 1.469725 | 0.479065 | 3.775460 | 0.004163 | 10092.6813 |
| 6842.803 | 56.609 | 1.346051e+00 | 1.475987 | 0.478479 | 3.774035 | 0.004065 | 10092.6449 |
| 6842.053 | 56.858 | 6.988423e-01 | 1.482419 | 0.488467 | 0.638083 | 0.003993 | 10092.6327 |
| 6843.008 | 56.536 | 1.351348e+00 | 1.474073 | -0.479870 | 2.504320 | 0.004126 | 10092.6222 |
| 6842.769 | 56.119 | 1.382600e+00 | 1.472960 | 0.480092 | 3.771285 | 0.004095 | 10092.4670 |
| 6842.819 | 56.190 | 1.396515e+00 | 1.472611 | 0.482703 | 3.776457 | 0.004106 | 10092.4613 |
| 6842.757 | 56.323 | 1.381782e+00 | 1.475042 | -0.481842 | 2.506660 | 0.004039 | 10092.4509 |