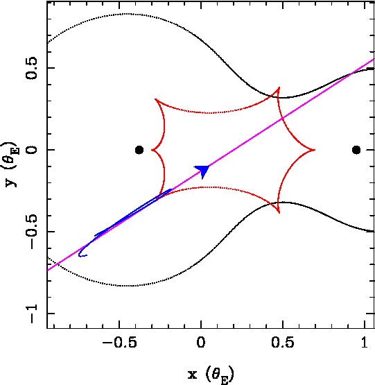
MOA-2014-BLG-459
Main| parameter | static | parallax | PSPL | FSPL |
|---|---|---|---|---|
| t0 (HJD) | 6885.55209 ± 3.55e-02 | 6971.11308 ± 2.05e-01 | 6884.57718 ± 4.26e-02 | 6884.24981 ± 1.81e-01 |
| tE(days) | 599.72 ± 3.03e+00 | 223.76 ± 3.36e-01 | -87.04 ± 9.65e+00 | 130.89 ± 2.08e+01 |
| u0 | -0.003809 ± 6.08e-05 | -0.108050 ± 3.24e-04 | 0.034845 ± 4.21e-03 | 0.027613 ± 4.57e-03 |
| q | 1.128440e-03 ± 2.61e-05 | 3.968455e-01 ± 2.08e-03 | ||
| s | 1.129069 ± 1.26e-03 | 1.328402 ± 1.81e-03 | ||
| α | -0.046302 ± 8.67e-04 | 5.708991 ± 1.98e-03 | ||
| ρ | 0.000301 ± 1.24e-05 | 0.000855 ± 1.86e-05 | 0.029912 ± 1.19e-02 | |
| πE | 0.000000 ± 0.00e+00 | 0.386713 ± 7.81e-04 | 0.000000 ± 0.00e+00 | 0.000000 ± 0.00e+00 |
| πEN | 0.000000 ± 0.00e+00 | 0.004726 ± 4.71e-05 | 0.000000 ± 0.00e+00 | 0.000000 ± 0.00e+00 |
| πEE | 0.000000 ± 0.00e+00 | -0.386684 ± 7.81e-04 | 0.000000 ± 0.00e+00 | 0.000000 ± 0.00e+00 |
| χE | 0.000000 ± 0.00e+00 | 0.000000 ± 0.00e+00 | 0.000000 ± 0.00e+00 | 0.000000 ± 0.00e+00 |
| ω(rad/day) | 0.000000 ± 0.00e+00 | 0.000000e+00 ± 0.00e+00 | ||
| ds/dt | 0.000000 ± 0.00e+00 | 0.000000e+00 ± 0.00e+00 | ||
| χ²/dof | 64313.927/(33354-9)= 1.929 | 60718.564/(33354-11)= 1.821 | 74803.869/(33354-5)= 2.243 | 74526.323/(33354-6)= 2.235 |
| Δχ² | -3595.36347247341 | 10489.942 | 10212.396 |
| Tel-band | Ndata | χ² | Fs | σFs | Fb | σFb | Ms(mag) | σMs | Mb(mag) | σMb |
|---|---|---|---|---|---|---|---|---|---|---|
| MOA-Red | 33354 | 60718.563528 | 3.04699e+02 | 2.93128e+00 | -2.11369e+02 | 4.09323e+00 | 21.290 | 0.010 | 0.000 | 0.000 |



| t0(HJD-2450000) | tE(day) | q | s | u0 | α(radian) | ρ | πE,N | πE,E | χ² |
|---|---|---|---|---|---|---|---|---|---|
| 6889.318 | 170.773 | 1.354292e-01 | 0.805476 | 0.038545 | 5.367956 | 0.003003 | 0.117353 | -0.504114 | 62456.2145 |
| 6898.010 | 597.856 | 6.640175e-02 | 0.843927 | 0.021691 | 5.534395 | 0.000765 | -0.022131 | -0.136630 | 62353.6075 |
| 6886.822 | -243.924 | 8.388375e-03 | 0.900243 | 0.014815 | 2.881296 | 0.001194 | -0.077323 | 0.354676 | 62155.4071 |
| 6891.994 | 333.610 | 5.675491e-03 | 1.134452 | -0.020801 | -0.051933 | 0.000618 | -0.015555 | -0.246866 | 62143.4910 |
| 6886.425 | 599.789 | 2.387325e-03 | 0.921446 | 0.006780 | 0.037776 | 0.000444 | -0.008471 | -0.140670 | 62129.0781 |
| 6886.745 | 593.629 | 2.077822e-03 | 0.890277 | 0.006039 | 0.097719 | 0.000295 | -0.000893 | -0.150478 | 62127.9152 |
| 6886.598 | -367.546 | 3.761188e-03 | 0.912184 | -0.010095 | 3.244787 | 0.000686 | -0.050661 | 0.230647 | 62126.3084 |
| 6923.076 | 108.772 | 2.985689e-01 | 0.994898 | 0.422400 | 0.230372 | 0.001867 | 0.099860 | -0.793371 | 62121.6709 |
| 6886.629 | 291.799 | 3.374432e-03 | 0.924384 | 0.011207 | 6.373589 | 0.000688 | -0.002258 | -0.305649 | 62118.9611 |
| 6886.656 | 272.904 | 5.655923e-03 | 0.885404 | -0.013279 | 6.118310 | 0.000976 | 0.065389 | -0.316019 | 62108.4517 |
| 6886.986 | -251.911 | 9.636717e-03 | 0.906883 | 0.015337 | 2.859918 | 0.001553 | -0.078332 | 0.339067 | 62057.8886 |
| 6886.689 | 595.036 | 2.369312e-03 | 0.901611 | 0.006245 | 6.397943 | 0.000354 | -0.007710 | -0.141613 | 62054.1941 |
| 6886.591 | 599.860 | 2.373170e-03 | 0.901841 | 0.006150 | 0.115302 | 0.000404 | -0.009285 | -0.138140 | 62038.5481 |
| 6887.698 | 465.117 | 1.798288e-03 | 0.909327 | -0.010544 | 0.143799 | 0.000454 | -0.008933 | -0.181083 | 61927.3131 |
| 6886.200 | 599.371 | 1.300783e-03 | 1.097545 | -0.005207 | 6.298122 | 0.000311 | -0.000857 | -0.142796 | 61909.9325 |
| 6893.995 | 423.819 | 8.912455e-02 | 0.731069 | 0.022617 | 5.517721 | 0.001185 | 0.048629 | -0.193537 | 61901.4930 |
| 6886.649 | 599.589 | 2.245684e-03 | 0.889941 | 0.006112 | 0.102327 | 0.000303 | -0.000803 | -0.148144 | 61886.9846 |
| 6886.506 | 567.425 | 2.160006e-03 | 0.898001 | 0.006135 | 6.378550 | 0.000340 | -0.000762 | -0.157868 | 61882.0307 |
| 6885.293 | 596.484 | 1.335851e-03 | 1.134606 | -0.004108 | -0.032777 | 0.000528 | -0.006104 | -0.142456 | 61878.9477 |
| 6887.625 | -569.319 | 1.652569e-03 | 0.904741 | 0.009243 | 3.305011 | 0.000405 | 0.009004 | 0.143971 | 61876.6289 |
| 6886.731 | -497.162 | 1.491166e-03 | 0.921430 | -0.010366 | 2.849148 | 0.000509 | -0.037790 | 0.163383 | 61854.9970 |
| 6973.645 | 314.311 | 1.559193e+00 | 1.122277 | -0.125681 | 3.555272 | 0.001670 | 0.062662 | -0.270320 | 61822.3494 |
| 6884.947 | 332.784 | 2.632327e-03 | 1.180562 | -0.006084 | 6.203123 | 0.000855 | 0.003463 | -0.261949 | 61817.8792 |
| 6885.241 | -515.147 | 1.513336e-03 | 1.157991 | -0.004219 | 3.215078 | 0.000457 | 0.003624 | 0.168879 | 61801.8761 |
| 6886.940 | 593.866 | 3.359903e-03 | 0.918298 | 0.007664 | 0.106065 | 0.000461 | 0.025604 | -0.129335 | 61797.5247 |
| 6886.558 | 573.574 | 2.263143e-03 | 0.885334 | -0.006242 | 6.181475 | 0.000357 | 0.030232 | -0.149666 | 61775.9849 |
| 6886.501 | 590.210 | 1.240522e-03 | 0.922277 | 0.008727 | 5.966377 | 0.000458 | 0.031156 | -0.137717 | 61767.0204 |
| 6887.783 | 204.085 | 1.078704e-02 | 0.915767 | 0.020690 | 0.255320 | 0.001156 | 0.071966 | -0.414890 | 61765.3707 |
| 6886.896 | 593.040 | 2.450421e-03 | 0.892710 | -0.006640 | 6.176599 | 0.000353 | 0.029895 | -0.143698 | 61708.2176 |
| 6886.223 | 599.688 | 1.482764e-03 | 1.095678 | -0.005653 | 6.308828 | 0.000384 | -0.006776 | -0.140548 | 61704.6866 |
| 6886.673 | 461.508 | 3.074855e-03 | 0.899508 | -0.008403 | -0.090136 | 0.000453 | 0.039133 | -0.185286 | 61701.3331 |
| 6886.508 | 594.615 | 2.289489e-03 | 0.893133 | -0.006127 | -0.103429 | 0.000393 | 0.029786 | -0.143450 | 61701.0792 |
| 6886.173 | 411.173 | 4.010797e-03 | 0.893231 | -0.009391 | -0.087646 | 0.000708 | 0.044943 | -0.209106 | 61666.9492 |
| 6886.571 | 576.667 | 2.621863e-03 | 0.888085 | -0.006695 | 6.181930 | 0.000390 | 0.029442 | -0.148764 | 61656.2829 |
| 6886.561 | 594.138 | 2.895737e-03 | 0.885834 | -0.006733 | -0.117932 | 0.000460 | 0.031201 | -0.145180 | 61641.8308 |
| 6886.550 | -585.396 | 2.370546e-03 | 0.896950 | 0.006498 | 3.055738 | 0.000410 | -0.030998 | 0.143564 | 61641.1267 |
| 6886.246 | 598.044 | 2.396416e-03 | 0.885022 | -0.006147 | -0.085010 | 0.000418 | 0.027112 | -0.146132 | 61558.9251 |
| 6929.160 | 206.487 | 1.731735e-01 | 1.771739 | 0.037676 | 5.678896 | 0.001164 | 0.002332 | -0.413110 | 61446.7136 |
| 6988.756 | 349.224 | 4.781478e-01 | 1.332992 | 0.142183 | 5.841165 | 0.001079 | -0.013372 | -0.204118 | 61411.1122 |
| 6971.113 | 223.764 | 3.968455e-01 | 1.328402 | -0.108050 | 5.708991 | 0.000855 | 0.004726 | -0.386684 | 60718.5635 |