MOA-2015-BLG-124
Main| parameter | static | parallax | PSPL | FSPL |
|---|---|---|---|---|
| t0 (HJD) | 7124.85604 ± 8.39e-01 | 7124.82277 ± 8.13e-01 | 7112.43097 ± 2.87e-02 | 7112.44377 ± 2.80e-02 |
| tE(days) | 16.79 ± 9.10e-01 | -17.94 ± 9.77e-01 | -93.83 ± 3.72e+01 | 90.04 ± 2.29e+01 |
| u0 | -0.291469 ± 3.02e-02 | -0.339066 ± 2.93e-02 | 0.007314 ± 2.33e-03 | 0.010572 ± 3.04e-03 |
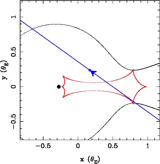
| q | 2.124724e-01 ± 5.24e-02 | 2.034569e-01 ± 4.16e-02 | ||
| s | 1.567984 ± 3.52e-02 | 1.548206 ± 3.64e-02 | ||
| α | 3.765204 ± 4.37e-02 | 5.559668 ± 5.31e-02 | ||
| ρ | 0.013913 ± 3.76e-03 | 0.018601 ± 3.66e-03 | 0.012012 ± 3.39e-03 | |
| πE | 0.000000 ± 0.00e+00 | 0.502416 ± 2.76e-01 | 0.000000 ± 0.00e+00 | 0.000000 ± 0.00e+00 |
| πEN | 0.000000 ± 0.00e+00 | 0.491992 ± 5.40e-01 | 0.000000 ± 0.00e+00 | 0.000000 ± 0.00e+00 |
| πEE | 0.000000 ± 0.00e+00 | -0.101812 ± 6.28e-01 | 0.000000 ± 0.00e+00 | 0.000000 ± 0.00e+00 |
| χE | 0.000000 ± 0.00e+00 | 0.000000 ± 0.00e+00 | 0.000000 ± 0.00e+00 | 0.000000 ± 0.00e+00 |
| ω(rad/day) | 0.000000 ± 0.00e+00 | 0.000000e+00 ± 0.00e+00 | ||
| ds/dt | 0.000000 ± 0.00e+00 | 0.000000e+00 ± 0.00e+00 | ||
| χ²/dof | 19912.869/(12734-9)= 1.565 | 19910.516/(12734-11)= 1.565 | 20257.139/(12734-5)= 1.591 | 20248.345/(12734-6)= 1.591 |
| Δχ² | -2.35277898069035 | 344.270 | 335.476 |
| Tel-band | Ndata | χ² | Fs | σFs | Fb | σFb | Ms(mag) | σMs | Mb(mag) | σMb |
|---|---|---|---|---|---|---|---|---|---|---|
| MOA-Red | 12734 | 19912.923071 | 6.71784e+02 | 4.43311e+01 | -8.04757e+02 | 4.44692e+01 | 20.432 | 0.072 | 0.000 | 0.000 |



| t0(HJD-2450000) | tE(day) | q | s | u0 | α(radian) | ρ | χ² |
|---|---|---|---|---|---|---|---|
| 7119.526 | 27.040 | 7.099314e-01 | 1.077933 | 0.271371 | 2.340499 | 0.000516 | 19930.8232 |
| 7120.918 | -13.968 | 6.310604e-01 | 1.538968 | -0.002642 | 0.399619 | 0.018683 | 19930.2853 |
| 7115.757 | 163.621 | 6.805485e-02 | 1.126106 | 0.041617 | 5.132170 | 0.000129 | 19930.2663 |
| 7116.779 | 54.531 | 3.025401e-01 | 1.033370 | 0.122585 | 5.266792 | 0.000165 | 19929.2320 |
| 7120.960 | 14.564 | 1.508516e+00 | 1.507419 | -0.039624 | 5.901274 | 0.015188 | 19928.7726 |
| 7120.980 | -22.690 | 1.459790e-01 | 1.047070 | 0.247163 | 0.566068 | 0.010658 | 19926.7919 |
| 7122.453 | 19.346 | 5.761998e-02 | 1.261222 | 0.367572 | 2.535565 | 0.013317 | 19925.8856 |
| 7123.385 | 21.150 | 1.445405e-01 | 1.273802 | -0.399159 | 3.794020 | 0.004771 | 19925.4644 |
| 7121.995 | -19.484 | 1.512989e-01 | 1.235385 | 0.364683 | 0.634564 | 0.004135 | 19925.1472 |
| 7122.169 | 19.568 | 1.506636e-01 | 1.239288 | -0.367414 | 3.772125 | 0.003639 | 19925.0118 |
| 7121.014 | 22.308 | 6.250139e-02 | 1.061987 | -0.203179 | 3.616951 | 0.007472 | 19925.0086 |
| 7123.255 | -19.769 | 4.792148e-02 | 1.278986 | -0.361904 | 5.708142 | 0.009787 | 19924.7691 |
| 7123.512 | 21.272 | 1.233416e-01 | 1.258177 | 0.377501 | 2.518516 | 0.004270 | 19924.5096 |
| 7124.558 | 24.085 | 9.133954e-02 | 1.208094 | 0.332950 | 2.565530 | 0.009482 | 19924.2962 |
| 7123.415 | -21.179 | 1.271802e-01 | 1.258685 | 0.380171 | 0.628189 | 0.003722 | 19923.5621 |
| 7120.820 | 25.787 | 2.335073e+00 | 1.059896 | 0.284873 | 5.577640 | 0.011402 | 19922.4836 |
| 7121.756 | 26.860 | 3.905768e-01 | 1.076812 | -0.289879 | 3.824430 | 0.011625 | 19921.8470 |
| 7121.788 | 21.876 | 1.034915e-01 | 1.121467 | 0.281731 | 2.570625 | 0.011389 | 19920.9800 |
| 7124.109 | 17.048 | 3.166874e-01 | 1.542252 | 0.242148 | 2.479959 | 0.000658 | 19920.0256 |
| 7124.216 | 23.096 | 8.117894e-02 | 1.234788 | -0.361310 | 3.749144 | 0.011378 | 19919.9410 |
| 7124.648 | 24.587 | 8.286608e-02 | 1.205407 | 0.331962 | 2.561214 | 0.009909 | 19919.5497 |
| 7124.559 | 17.318 | 3.203894e-01 | 1.562943 | 0.248634 | 2.495908 | 0.001730 | 19919.4636 |
| 7124.592 | 17.499 | 2.908914e-01 | 1.546769 | -0.259718 | 3.806251 | 0.000823 | 19919.4197 |
| 7115.479 | 64.263 | 2.025304e-01 | 1.009310 | 0.083293 | 5.136516 | 0.001290 | 19918.8706 |
| 7122.965 | 22.568 | 8.358940e-02 | 1.175894 | -0.311955 | 3.720097 | 0.011582 | 19918.5665 |
| 7123.861 | -22.920 | 8.437763e-02 | 1.228559 | 0.363169 | 0.619795 | 0.012199 | 19918.2987 |
| 7122.766 | 22.211 | 9.820479e-02 | 1.178832 | -0.325752 | 3.741198 | 0.012052 | 19918.1476 |
| 7121.219 | 21.191 | 6.293878e-01 | 1.135067 | 0.354844 | 3.529770 | 0.009990 | 19918.0760 |
| 7123.119 | 22.571 | 9.349661e-02 | 1.183182 | 0.324738 | 2.551111 | 0.011050 | 19918.0626 |
| 7121.406 | 21.488 | 1.761632e+00 | 1.118746 | 0.358473 | 0.416594 | 0.009105 | 19917.9658 |
| 7120.891 | -20.494 | 6.549962e-01 | 1.137850 | -0.356103 | 0.381254 | 0.009976 | 19917.8115 |
| 7121.133 | 20.844 | 5.903822e-01 | 1.130458 | 0.353625 | 3.541071 | 0.009008 | 19917.3582 |
| 7121.271 | 21.118 | 5.670575e-01 | 1.125860 | 0.353900 | 3.549593 | 0.008621 | 19917.3318 |
| 7115.312 | -65.784 | 1.865585e-01 | 1.014799 | -0.082540 | 2.010207 | 0.002003 | 19917.3128 |
| 7115.389 | 64.351 | 1.981992e-01 | 1.010780 | -0.084580 | 1.143729 | 0.000883 | 19917.1787 |
| 7123.521 | 23.180 | 9.167532e-02 | 1.189746 | -0.328212 | 3.733100 | 0.011367 | 19917.1110 |
| 7115.102 | 74.453 | 1.590899e-01 | 0.999568 | 0.070296 | 5.120663 | 0.000963 | 19916.8811 |
| 7115.324 | 66.607 | 1.870396e-01 | 1.010581 | 0.081447 | 5.143161 | 0.001721 | 19916.4607 |
| 7123.806 | -17.102 | 1.947345e-01 | 1.508319 | -0.323089 | 5.539858 | 0.017951 | 19916.3678 |
| 7124.856 | 16.790 | 2.124724e-01 | 1.567984 | -0.291469 | 3.765204 | 0.013913 | 19912.8689 |