MOA-2017-BLG-150 / OGLE-2017-BLG-0288
Main| parameter | static | parallax | PSPL | FSPL |
|---|---|---|---|---|
| t0 (HJD) | 7852.87500 ± 8.99e-03 | 7852.65910 ± 2.07e-02 | 7853.06632 ± 5.51e-03 | 7853.06579 ± 5.56e-03 |
| tE(days) | -200.78 ± 7.74e+00 | 596.83 ± 8.90e+00 | 598.58 ± 8.36e+00 | -598.19 ± 2.20e+01 |
| u0 | -0.005470 ± 2.32e-04 | 0.001840 ± 4.16e-05 | 0.001586 ± 2.50e-05 | 0.002141 ± 8.41e-05 |
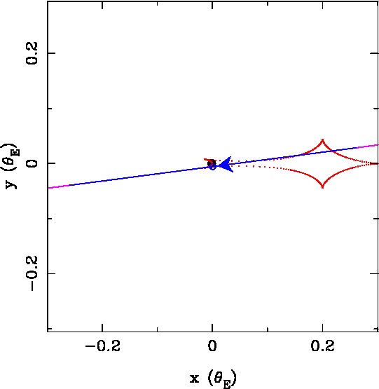
| q | 1.324560e-03 ± 1.13e-04 | 4.860505e-04 ± 2.78e-05 | ||
| s | 1.104712 ± 3.05e-03 | 0.839702 ± 5.51e-03 | ||
| α | 6.153087 ± 3.50e-03 | 2.983251 ± 4.81e-03 | ||
| ρ | 0.005272 ± 3.21e-04 | 0.000995 ± 5.14e-05 | 0.002443 ± 9.43e-05 | |
| πE | 0.000000 ± 0.00e+00 | 0.131370 ± 6.01e-03 | 0.000000 ± 0.00e+00 | 0.000000 ± 0.00e+00 |
| πEN | 0.000000 ± 0.00e+00 | -0.097353 ± 5.32e-03 | 0.000000 ± 0.00e+00 | 0.000000 ± 0.00e+00 |
| πEE | 0.000000 ± 0.00e+00 | -0.088207 ± 4.75e-03 | 0.000000 ± 0.00e+00 | 0.000000 ± 0.00e+00 |
| χE | 0.000000 ± 0.00e+00 | 0.000000 ± 0.00e+00 | 0.000000 ± 0.00e+00 | 0.000000 ± 0.00e+00 |
| ω(rad/day) | 0.000000 ± 0.00e+00 | 0.000000e+00 ± 0.00e+00 | ||
| ds/dt | 0.000000 ± 0.00e+00 | 0.000000e+00 ± 0.00e+00 | ||
| χ²/dof | 11348.805/(6594-15)= 1.725 | 11027.754/(6594-17)= 1.677 | 12206.967/(6594-11)= 1.854 | 12199.844/(6594-12)= 1.854 |
| Δχ² | -321.05052630307 | 858.162 | 851.039 |
| Tel-band | Ndata | χ² | Fs | σFs | Fb | σFb | Ms(mag) | σMs | Mb(mag) | σMb |
|---|---|---|---|---|---|---|---|---|---|---|
| MOA-Red | 6199 | 10697.420849 | 1.06346e+02 | 4.45642e+00 | -6.32074e+01 | 4.32560e+00 | 22.433 | 0.045 | 0.000 | 0.000 |
| OGLE-I | 298 | 546.927233 | 5.59716e+00 | 2.32017e-01 | 9.58531e+01 | 2.94708e-01 | 22.130 | 0.045 | 19.046 | 0.003 |



| tE(day) | q | s | u0 | α(radian) | ρ | χ² |
|---|---|---|---|---|---|---|
| 112.976 | 4.303751e-03 | 0.743075 | 0.011983 | 3.076149 | 0.007503 | 11355.3555 |
| 233.764 | 1.419464e-03 | 1.284662 | -0.004934 | 3.219181 | 0.004631 | 11349.2769 |
| -200.499 | 1.325000e-03 | 1.104966 | 0.005476 | 0.130332 | 0.005308 | 11348.9117 |
| -200.784 | 1.324560e-03 | 1.104712 | -0.005470 | 6.153087 | 0.005272 | 11348.8053 |
| -599.454 | 4.945041e-04 | 0.752086 | 0.001684 | 0.097092 | 0.000603 | 11312.7219 |
| 596.971 | 4.923596e-04 | 0.752994 | 0.001693 | 3.045868 | 0.000617 | 11312.5990 |
| -598.960 | 4.816983e-04 | 1.343117 | 0.001656 | 0.099250 | 0.000546 | 11308.7766 |
| 598.730 | 4.697898e-04 | 1.338995 | -0.001649 | 3.238286 | 0.000554 | 11308.4366 |
| -598.940 | 4.853629e-04 | 1.345247 | 0.001648 | 0.096010 | 0.000519 | 11308.4315 |
| 599.083 | 4.905753e-04 | 1.346955 | 0.001658 | 3.044029 | 0.000542 | 11308.3751 |
| 594.948 | 4.371835e-04 | 0.969112 | -0.001664 | 5.961968 | 0.002190 | 11254.3158 |
| 598.486 | 4.688474e-04 | 0.969173 | -0.001636 | 5.948149 | 0.002160 | 11254.0159 |
| 599.267 | 4.405046e-04 | 0.969213 | 0.001652 | 0.322298 | 0.002175 | 11253.6947 |
| 599.307 | 4.353015e-04 | 0.969474 | 0.001643 | 0.322707 | 0.002169 | 11253.5352 |
| 597.361 | 4.273822e-04 | 0.969290 | -0.001665 | 5.967086 | 0.002185 | 11252.8187 |
| -599.764 | 5.223130e-04 | 1.256594 | -0.001917 | -0.070978 | 0.001897 | 11248.7656 |
| 591.868 | 5.362694e-04 | 1.258064 | -0.001957 | 3.212887 | 0.001916 | 11248.2878 |
| 593.980 | 5.268137e-04 | 1.256394 | -0.001949 | 3.212918 | 0.001915 | 11247.8743 |
| 589.858 | 5.421508e-04 | 1.258697 | -0.001949 | 3.211560 | 0.001915 | 11247.6687 |
| -598.339 | 5.200979e-04 | 1.255115 | -0.001927 | -0.070782 | 0.001888 | 11247.1702 |
| -598.091 | 5.207208e-04 | 1.255214 | -0.001924 | 6.212086 | 0.001885 | 11246.9015 |
| 598.372 | 4.727556e-04 | 1.228697 | 0.001843 | 3.040080 | 0.002226 | 11244.1138 |
| 583.475 | 2.549474e-05 | 0.998381 | 0.001575 | 0.002259 | 0.000689 | 11240.9368 |
| -596.410 | 4.862678e-04 | 0.825370 | -0.001859 | 6.182076 | 0.002236 | 11235.1477 |
| -597.421 | 4.699418e-04 | 1.205396 | -0.001827 | 6.176344 | 0.002229 | 11232.5117 |
| 598.593 | 4.683332e-04 | 1.205749 | -0.001837 | 3.249785 | 0.002228 | 11230.9620 |
| 598.797 | 5.450460e-04 | 0.800979 | -0.001933 | 3.216430 | 0.001824 | 11209.7047 |
| 599.166 | 5.515774e-04 | 0.800649 | -0.001944 | 3.214777 | 0.001823 | 11209.6577 |
| -595.569 | 5.773107e-04 | 0.796471 | -0.001961 | 6.212096 | 0.001901 | 11209.4649 |
| 592.904 | 5.611530e-04 | 0.799567 | -0.001965 | 3.211747 | 0.001899 | 11209.3805 |
| 599.479 | 5.425365e-04 | 0.801609 | -0.001931 | 3.215763 | 0.001810 | 11209.3193 |
| 593.222 | 5.609851e-04 | 0.799903 | 0.001961 | 3.070432 | 0.001873 | 11209.1638 |
| 594.745 | 5.417282e-04 | 0.803109 | -0.001952 | 3.214415 | 0.001842 | 11209.0847 |
| 599.823 | 5.533230e-04 | 0.799496 | 0.001936 | 3.068114 | 0.001832 | 11209.0158 |
| 598.668 | 5.601163e-04 | 0.799789 | -0.001935 | 3.214358 | 0.001819 | 11208.9727 |
| 595.588 | 5.436101e-04 | 0.802548 | 0.001941 | 3.068365 | 0.001833 | 11208.9454 |
| 598.038 | 5.221790e-04 | 0.805856 | 0.001933 | 3.066709 | 0.001820 | 11208.7848 |
| 597.990 | 5.519711e-04 | 0.800011 | 0.001944 | 3.070061 | 0.001888 | 11208.6646 |
| -599.884 | 5.525247e-04 | 0.800460 | -0.001942 | -0.072057 | 0.001831 | 11208.5419 |
| 598.102 | 5.662203e-04 | 0.798067 | 0.001952 | 3.070701 | 0.001881 | 11208.4983 |