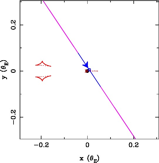
MOA-2017-BLG-233 / OGLE-2017-BLG-0406
Main| parameter | static | parallax | PSPL | FSPL |
|---|---|---|---|---|
| t0 (HJD) | 7908.80887 ± 2.95e-04 | 7908.80876 ± 9.00e-05 | 7908.83591 ± 3.19e-04 | 7908.83617 ± 3.47e-04 |
| tE(days) | -36.29 ± 7.69e-02 | -36.21 ± 3.05e-02 | 36.91 ± 8.09e-02 | 36.82 ± 8.25e-02 |
| u0 | -0.009703 ± 3.31e-05 | -0.009725 ± 5.99e-06 | 0.008750 ± 2.54e-05 | 0.008770 ± 2.45e-05 |
| q | 6.925877e-04 ± 5.82e-06 | 6.955738e-04 ± 8.69e-07 | ||
| s | 0.906847 ± 4.64e-04 | 0.906019 ± 1.20e-04 | ||
| α | 4.123796 ± 1.14e-03 | 4.123338 ± 2.60e-04 | ||
| ρ | 0.005811 ± 3.89e-05 | 0.005781 ± 4.17e-08 | 0.001493 ± 2.67e-04 | |
| πE | 0.000000 ± 0.00e+00 | 0.503096 ± 5.43e-02 | 0.000000 ± 0.00e+00 | 0.000000 ± 0.00e+00 |
| πEN | 0.000000 ± 0.00e+00 | -0.490739 ± 5.40e-02 | 0.000000 ± 0.00e+00 | 0.000000 ± 0.00e+00 |
| πEE | 0.000000 ± 0.00e+00 | -0.110819 ± 9.92e-03 | 0.000000 ± 0.00e+00 | 0.000000 ± 0.00e+00 |
| χE | 0.000000 ± 0.00e+00 | 0.000000 ± 0.00e+00 | 0.000000 ± 0.00e+00 | 0.000000 ± 0.00e+00 |
| ω(rad/day) | 0.000000 ± 0.00e+00 | 0.000000e+00 ± 0.00e+00 | ||
| ds/dt | 0.000000 ± 0.00e+00 | 0.000000e+00 ± 0.00e+00 | ||
| χ²/dof | 76014.099/(29457-17)= 2.582 | 75990.214/(29457-19)= 2.581 | 94452.679/(29457-11)= 3.208 | 94270.408/(29457-12)= 3.202 |
| Δχ² | -23.8851861883159 | 18438.580 | 18256.309 |
| Tel-band | Ndata | χ² | Fs | σFs | Fb | σFb | Ms(mag) | σMs | Mb(mag) | σMb |
|---|---|---|---|---|---|---|---|---|---|---|
| MOA-Red | 27784 | 72082.595527 | 1.27167e+04 | 3.33258e+01 | -1.26964e+04 | 3.32442e+01 | 17.239 | 0.003 | 0.000 | 0.000 |
| OGLE-I | 1595 | 3590.484277 | 3.76345e+02 | 1.04537e+00 | 1.61385e+01 | 1.02754e+00 | 17.561 | 0.003 | 20.980 | 0.069 |
| CTIO1.3m-I | 5 | 40.608527 | 3.85722e+02 | 3.68722e+00 | -4.22487e+02 | 4.63234e+01 | 17.534 | 0.010 | 0.000 | 0.000 |
| Danish-Z | 73 | 306.746380 | 1.55733e+06 | 5.90154e+03 | 1.60465e+06 | 2.92207e+04 | 8.519 | 0.004 | 8.487 | 0.020 |



| tE(day) | q | s | u0 | α(radian) | ρ | χ² |
|---|---|---|---|---|---|---|
| -37.104 | 7.873882e-04 | 1.333465 | -0.009366 | 4.116145 | 0.005380 | 76631.3666 |
| 36.900 | 7.839190e-04 | 1.313744 | 0.009431 | 0.970827 | 0.005504 | 76603.1750 |
| -36.786 | 7.558661e-04 | 1.299792 | -0.009489 | 4.115012 | 0.005511 | 76583.3082 |
| 35.598 | 5.662968e-04 | 0.916791 | -0.009862 | 5.297624 | 0.005553 | 76388.1665 |
| -37.488 | 5.897823e-04 | 1.109933 | -0.009338 | 4.116955 | 0.005429 | 76235.8094 |
| 36.230 | 6.338287e-04 | 0.938496 | 0.009461 | 0.965654 | 0.003565 | 76219.6305 |
| 36.347 | 6.075254e-04 | 1.077064 | -0.009384 | 5.313376 | 0.003404 | 76215.2657 |
| 37.319 | 6.023395e-04 | 1.111595 | 0.009377 | 0.970547 | 0.005449 | 76176.4909 |
| -36.123 | 6.407932e-04 | 0.909348 | -0.009742 | 4.118760 | 0.005697 | 76151.8567 |
| 36.396 | 5.990700e-04 | 0.912756 | -0.009633 | 5.309633 | 0.005555 | 76142.3891 |
| -36.369 | 6.001774e-04 | 0.913619 | -0.009639 | 4.114716 | 0.005562 | 76135.2339 |
| 35.687 | 6.214169e-04 | 1.111054 | -0.009900 | 5.302128 | 0.005759 | 76133.5906 |
| 36.352 | 6.069009e-04 | 1.110864 | 0.009658 | 0.975782 | 0.005602 | 76132.4902 |
| 36.391 | 6.136439e-04 | 1.111862 | -0.009651 | 5.307051 | 0.005634 | 76131.8055 |
| 35.499 | 7.679430e-04 | 1.128182 | 0.010024 | 1.002228 | 0.006253 | 76124.7998 |
| -36.638 | 5.973077e-04 | 1.110584 | -0.009558 | 4.115212 | 0.005506 | 76097.3765 |
| 36.464 | 6.061664e-04 | 1.111607 | 0.009615 | 0.976379 | 0.005572 | 76094.0499 |
| -36.243 | 6.156907e-04 | 1.109297 | -0.009674 | 4.110084 | 0.005576 | 76088.8870 |
| -36.447 | 6.033770e-04 | 1.109726 | -0.009615 | 4.112018 | 0.005573 | 76084.7387 |
| -36.340 | 5.878898e-04 | 1.109864 | 0.009645 | 2.171702 | 0.005569 | 76083.6241 |
| 36.238 | 6.309905e-04 | 1.112161 | 0.009706 | 0.980151 | 0.005661 | 76083.2849 |
| 36.177 | 6.168007e-04 | 1.111042 | -0.009721 | 5.305974 | 0.005640 | 76082.9402 |
| -36.448 | 6.035564e-04 | 1.110994 | 0.009611 | 2.169946 | 0.005620 | 76080.7833 |
| -36.434 | 5.950311e-04 | 0.913054 | 0.009624 | 2.173209 | 0.005491 | 76080.2389 |
| -36.399 | 5.900345e-04 | 1.109028 | 0.009641 | 2.168362 | 0.005539 | 76078.2879 |
| 36.510 | 6.164580e-04 | 1.111147 | -0.009611 | 5.306593 | 0.005644 | 76078.1631 |
| -36.610 | 6.010074e-04 | 0.911297 | 0.009577 | 2.165212 | 0.005552 | 76077.6463 |
| 36.567 | 6.044331e-04 | 0.912514 | -0.009587 | 5.312543 | 0.005621 | 76073.3019 |
| -36.364 | 6.211892e-04 | 1.113102 | -0.009660 | 4.115584 | 0.005655 | 76071.5498 |
| 36.372 | 6.144020e-04 | 0.911468 | -0.009668 | 5.307901 | 0.005618 | 76069.0079 |
| 36.290 | 6.102806e-04 | 0.910967 | 0.009678 | 0.976968 | 0.005612 | 76067.8045 |
| -36.315 | 6.303435e-04 | 1.113043 | -0.009682 | 4.120567 | 0.005726 | 76066.3176 |
| 36.452 | 6.276962e-04 | 1.112805 | -0.009633 | 5.305283 | 0.005644 | 76060.5875 |
| 36.263 | 6.454224e-04 | 1.117456 | 0.009682 | 0.982933 | 0.005773 | 76060.3236 |
| -36.073 | 6.534484e-04 | 1.117649 | 0.009758 | 2.159989 | 0.005777 | 76054.9440 |
| -36.134 | 6.378832e-04 | 0.911781 | 0.009740 | 2.163093 | 0.005709 | 76051.0741 |
| 36.321 | 6.509968e-04 | 0.909788 | -0.009717 | 5.300612 | 0.005714 | 76030.8718 |
| -35.974 | 6.535240e-04 | 0.910387 | -0.009785 | 4.124270 | 0.005778 | 76025.9370 |
| 36.234 | 6.618841e-04 | 0.908536 | 0.009716 | 0.987172 | 0.005795 | 76015.0927 |
| -36.286 | 6.925877e-04 | 0.906847 | -0.009703 | 4.123796 | 0.005811 | 76014.0986 |