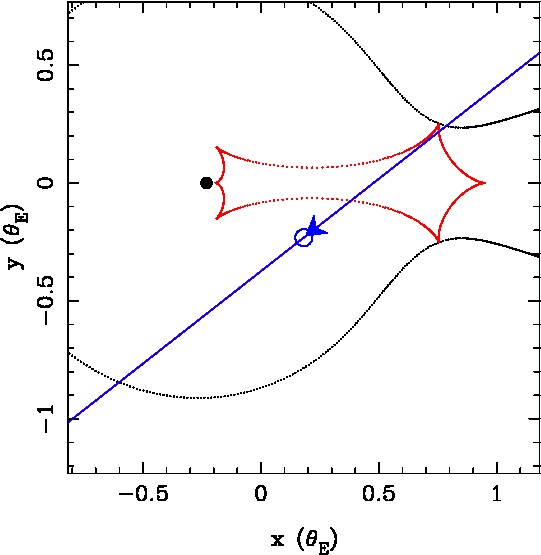
MOA-2018-BLG-146
Main| parameter | static | parallax | PSPL | FSPL |
|---|---|---|---|---|
| t0 (HJD) | 8259.81072 ± 1.14e-01 | 8259.89706 ± 1.06e-01 | 8252.35217 ± 3.50e-02 | 8252.26437 ± 2.80e-02 |
| tE(days) | 12.29 ± 1.71e-01 | 17.92 ± 2.75e-01 | 31.37 ± 1.99e+00 | 33.98 ± 2.55e+00 |
| u0 | 0.294555 ± 6.72e-03 | -0.061956 ± 4.02e-03 | 0.066837 ± 5.91e-03 | 0.076274 ± 8.35e-03 |
| q | 1.792835e-01 ± 8.72e-03 | 6.839545e-01 ± 1.57e-02 | ||
| s | 1.516443 ± 9.58e-03 | 0.951536 ± 7.89e-03 | ||
| α | 2.476952 ± 1.76e-02 | 1.417984 ± 1.15e-02 | ||
| ρ | 0.036074 ± 2.58e-03 | 0.002084 ± 1.28e-04 | 0.089520 ± 8.91e-03 | |
| πE | 0.000000 ± 0.00e+00 | 1.024939 ± 1.36e-01 | 0.000000 ± 0.00e+00 | 0.000000 ± 0.00e+00 |
| πEN | 0.000000 ± 0.00e+00 | 0.301650 ± 3.35e-01 | 0.000000 ± 0.00e+00 | 0.000000 ± 0.00e+00 |
| πEE | 0.000000 ± 0.00e+00 | 0.979544 ± 1.82e-01 | 0.000000 ± 0.00e+00 | 0.000000 ± 0.00e+00 |
| χE | 0.000000 ± 0.00e+00 | 0.000000 ± 0.00e+00 | 0.000000 ± 0.00e+00 | 0.000000 ± 0.00e+00 |
| ω(rad/day) | 0.000000 ± 0.00e+00 | 0.000000e+00 ± 0.00e+00 | ||
| ds/dt | 0.000000 ± 0.00e+00 | 0.000000e+00 ± 0.00e+00 | ||
| χ²/dof | 6968.515/(1825-9)= 3.837 | 6894.338/(1825-11)= 3.801 | 10913.891/(1825-5)= 5.997 | 10816.006/(1825-6)= 5.946 |
| Δχ² | -74.1768238942559 | 3945.376 | 3847.491 |
| Tel-band | Ndata | χ² | Fs | σFs | Fb | σFb | Ms(mag) | σMs | Mb(mag) | σMb |
|---|---|---|---|---|---|---|---|---|---|---|
| MOA-Red | 1825 | 6968.538892 | 8.95043e+03 | 1.64665e+02 | -7.83200e+03 | 1.65128e+02 | 17.620 | 0.020 | 0.000 | 0.000 |



| t0(HJD-2450000) | tE(day) | q | s | u0 | α(radian) | ρ | χ² |
|---|---|---|---|---|---|---|---|
| 8254.808 | -19.279 | 1.401236e+00 | 1.001651 | 0.229967 | 4.044333 | 0.000247 | 7191.4180 |
| 8258.129 | 64.295 | 1.440658e+00 | 0.785220 | -0.135105 | 4.056974 | 0.005623 | 7172.9570 |
| 8258.786 | 18.240 | 6.490662e-01 | 0.909140 | 0.075738 | 4.791595 | 0.002036 | 7155.8724 |
| 8273.664 | -58.988 | 1.303967e+00 | 1.426015 | 0.457687 | 4.021828 | 0.007675 | 7142.7159 |
| 8273.567 | -54.213 | 1.633704e+00 | 1.411752 | 0.482328 | 4.007468 | 0.008597 | 7132.8271 |
| 8256.246 | 40.209 | 9.122936e-01 | 0.868227 | 0.184343 | 5.283896 | 0.009807 | 7121.1783 |
| 8258.225 | 14.688 | 4.938996e-01 | 1.121875 | 0.011827 | 5.162840 | 0.000179 | 7107.9891 |
| 8259.596 | 19.392 | 6.949066e-02 | 1.146079 | 0.274928 | 2.583122 | 0.002086 | 7100.3310 |
| 8256.885 | 39.848 | 9.619944e-01 | 0.880265 | 0.196348 | 2.177155 | 0.009746 | 7088.5335 |
| 8259.311 | -12.606 | 3.342135e-01 | 1.426235 | -0.171080 | 5.524560 | 0.017642 | 7072.2057 |
| 8257.301 | -19.713 | 2.542702e-01 | 0.992223 | 0.240464 | 0.652115 | 0.000111 | 7067.0503 |
| 8259.489 | -21.376 | 6.551537e-02 | 1.068020 | 0.206504 | 0.482755 | 0.000885 | 7063.2924 |
| 8259.639 | 21.743 | 6.196415e-02 | 1.069290 | -0.203868 | 3.619002 | 0.000477 | 7063.2088 |
| 8259.573 | -21.725 | 6.102345e-02 | 1.066378 | -0.201110 | 5.808551 | 0.000456 | 7062.8719 |
| 8259.556 | 21.563 | 6.419133e-02 | 1.068564 | 0.205943 | 2.659699 | 0.000602 | 7062.7622 |
| 8259.520 | -21.508 | 6.494640e-02 | 1.067755 | -0.205870 | 5.800949 | 0.000295 | 7062.7193 |
| 8258.299 | 20.890 | 1.844263e-01 | 1.001230 | 0.227765 | 2.559265 | 0.000171 | 7057.5559 |
| 8258.097 | 20.609 | 5.126163e+00 | 0.998789 | -0.230004 | 0.594271 | 0.000543 | 7057.1004 |
| 8254.217 | 25.175 | 8.625463e-01 | 0.905771 | 0.214603 | 2.035958 | 0.017170 | 7056.8807 |
| 8257.995 | 20.534 | 2.082069e-01 | 1.000324 | -0.234596 | 3.750052 | 0.000917 | 7056.8632 |
| 8258.126 | 20.735 | 5.118792e+00 | 0.999490 | 0.231081 | 5.686170 | 0.000421 | 7056.6270 |
| 8258.149 | 20.703 | 1.997588e-01 | 1.002059 | 0.232888 | 2.544037 | 0.000393 | 7056.4759 |
| 8259.173 | -12.700 | 4.253040e-01 | 1.412567 | 0.136815 | 0.775460 | 0.018909 | 7041.8158 |
| 8259.001 | 22.794 | 1.159544e-01 | 0.992686 | 0.204125 | 2.607926 | 0.008744 | 7035.0226 |
| 8262.187 | 20.084 | 7.158745e-01 | 1.100640 | 0.059261 | 5.052781 | 0.007296 | 7034.7876 |
| 8259.607 | 18.754 | 9.373408e-02 | 1.103410 | 0.230477 | 2.665084 | 0.018100 | 7024.9815 |
| 8260.321 | 16.349 | 6.834497e-02 | 1.230636 | 0.301296 | 2.645127 | 0.022425 | 7014.3727 |
| 8260.285 | 16.391 | 6.848387e-02 | 1.229711 | -0.302400 | 3.642150 | 0.022881 | 7014.1232 |
| 8260.222 | 17.567 | 6.641694e-02 | 1.179396 | 0.264276 | 2.665166 | 0.016668 | 7011.6660 |
| 8260.247 | 17.682 | 6.581571e-02 | 1.179810 | -0.265313 | 3.621192 | 0.016745 | 7011.5669 |
| 8260.292 | -17.431 | 6.973380e-02 | 1.184564 | 0.267397 | 0.475031 | 0.017840 | 7011.1838 |
| 8260.557 | 22.230 | 6.626598e-01 | 1.051184 | -0.116528 | 1.419501 | 0.002379 | 7003.1073 |
| 8260.618 | 17.657 | 1.176255e+00 | 1.054241 | 0.089260 | 1.791218 | 0.003569 | 6992.8502 |
| 8262.329 | 20.652 | 6.918813e-01 | 1.107827 | 0.072445 | 5.030482 | 0.003069 | 6991.2643 |
| 8262.027 | 20.226 | 6.040602e-01 | 1.098550 | -0.048133 | 1.212530 | 0.002313 | 6985.7427 |
| 8260.212 | 17.185 | 6.752925e-02 | 0.828122 | -0.195315 | -0.367244 | 0.005269 | 6971.4438 |
| 8259.826 | -12.290 | 1.820017e-01 | 1.519587 | -0.295228 | 5.620272 | 0.036967 | 6968.6718 |
| 8259.826 | 12.335 | 1.799149e-01 | 1.517145 | -0.296453 | 3.807041 | 0.037345 | 6968.6441 |
| 8259.844 | 12.207 | 1.842842e-01 | 1.523781 | 0.291023 | 2.489508 | 0.036618 | 6968.6223 |
| 8259.811 | 12.290 | 1.792835e-01 | 1.516443 | 0.294555 | 2.476952 | 0.036074 | 6968.5152 |