MOA-2020-BLG-135 / KMT-2020-BLG-0579
Main| parameter | static | parallax | PSPL | FSPL |
|---|---|---|---|---|
| t0 (HJD) | 9040.56205 ± 3.98e-03 | 9040.55266 ± 1.99e-03 | 9040.50648 ± 3.21e-03 | 9040.49917 ± 1.69e-03 |
| tE(days) | -16.06 ± 2.03e-01 | -17.47 ± 1.02e-01 | 13.19 ± 6.84e-02 | 16.08 ± 1.71e-01 |
| u0 | 0.035922 ± 6.06e-04 | 0.033159 ± 3.03e-04 | 0.047352 ± 1.82e-04 | 0.034575 ± 5.47e-04 |
| q | 3.704962e-02 ± 1.97e-03 | 3.402548e-02 ± 9.86e-04 | ||
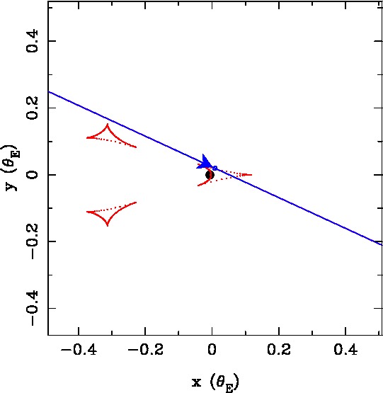
| s | 0.452296 ± 4.29e-03 | 0.462344 ± 2.15e-03 | ||
| α | 2.695774 ± 1.21e-02 | 2.670822 ± 6.06e-03 | ||
| ρ | 0.028778 ± 4.63e-04 | 0.026866 ± 2.32e-04 | 0.001168 ± 1.38e-03 | |
| πE | 0.000000 ± 0.00e+00 | 4.523162 ± 0.00e+00 | 0.000000 ± 0.00e+00 | 0.000000 ± 0.00e+00 |
| πEN | 0.000000 ± 0.00e+00 | -0.611222 ± 1.00e-01 | 0.000000 ± 0.00e+00 | 0.000000 ± 0.00e+00 |
| πEE | 0.000000 ± 0.00e+00 | 4.481674 ± 1.00e-01 | 0.000000 ± 0.00e+00 | 0.000000 ± 0.00e+00 |
| χE | 0.000000 ± 0.00e+00 | 0.000000 ± 0.00e+00 | 0.000000 ± 0.00e+00 | 0.000000 ± 0.00e+00 |
| ω(rad/day) | 0.000000 ± 0.00e+00 | 0.000000e+00 ± 0.00e+00 | ||
| ds/dt | 0.000000 ± 0.00e+00 | 0.000000e+00 ± 0.00e+00 | ||
| χ²/dof | 14441.718/(5962-13)= 2.428 | 14369.575/(5962-15)= 2.416 | 15583.276/(5962-9)= 2.618 | 15221.984/(5962-10)= 2.557 |
| Δχ² | -72.1431771747411 | 1141.558 | 780.266 |
| Tel-band | Ndata | χ² | Fs | σFs | Fb | σFb | Ms(mag) | σMs | Mb(mag) | σMb |
|---|---|---|---|---|---|---|---|---|---|---|
| MOA-Red | 3608 | 5681.502871 | 3.55800e+03 | 8.32821e+01 | -4.20415e+03 | 8.33466e+01 | 18.622 | 0.025 | 0.000 | 0.000 |
| KMT-SSO-I | 1166 | 4672.119223 | 4.18236e+03 | 8.13639e+01 | -4.31049e+03 | 7.93446e+01 | 14.946 | 0.021 | 0.000 | 0.000 |
| KMT-SSO-I | 1188 | 4087.873799 | 3.91549e+03 | 7.59707e+01 | -3.99043e+03 | 7.40524e+01 | 15.018 | 0.021 | 0.000 | 0.000 |





| t0(HJD-2450000) | tE(day) | q | s | u0 | α(radian) | ρ | χ² |
|---|---|---|---|---|---|---|---|
| 9040.524 | -21.314 | 1.078334e-02 | 1.294082 | 0.019535 | 2.410812 | 0.013728 | 14576.6449 |
| 9040.528 | 21.540 | 1.120165e-02 | 1.303270 | -0.019068 | 5.552095 | 0.013232 | 14576.6298 |
| 9040.526 | 21.316 | 1.083879e-02 | 1.295221 | 0.019464 | 0.723725 | 0.013580 | 14576.5016 |
| 9040.522 | -21.421 | 1.059902e-02 | 1.293311 | -0.019297 | 3.861171 | 0.013143 | 14576.4990 |
| 9040.520 | -21.640 | 1.027077e-02 | 1.289954 | 0.019117 | 2.424670 | 0.012941 | 14576.4616 |
| 9040.521 | 21.432 | 1.072052e-02 | 1.296197 | -0.019303 | 5.557710 | 0.013391 | 14576.4474 |
| 9040.522 | -21.173 | 1.064427e-02 | 1.288680 | -0.019816 | 3.868167 | 0.013719 | 14576.4283 |
| 9040.527 | 21.503 | 1.100415e-02 | 1.299579 | -0.019240 | 5.556313 | 0.013365 | 14576.2606 |
| 9040.527 | 21.459 | 1.098864e-02 | 1.297889 | 0.019327 | 0.730097 | 0.013482 | 14576.2153 |
| 9040.526 | -21.327 | 1.082217e-02 | 1.293652 | 0.019532 | 2.416100 | 0.013541 | 14576.0509 |
| 9040.528 | 21.325 | 1.096535e-02 | 1.298489 | -0.019290 | 5.561062 | 0.013345 | 14575.9059 |
| 9040.528 | 21.521 | 1.089748e-02 | 1.297032 | -0.019229 | 5.554856 | 0.013414 | 14575.7901 |
| 9040.522 | -21.306 | 1.061132e-02 | 1.290779 | 0.019607 | 2.415628 | 0.013670 | 14575.6108 |
| 9040.824 | 21.786 | 1.157057e-02 | 0.724891 | -0.035439 | 6.220275 | 0.015251 | 14572.0379 |
| 9040.599 | 18.500 | 4.781162e-03 | 0.724069 | -0.037857 | 0.186132 | 0.020083 | 14540.8271 |
| 9040.603 | -18.463 | 4.922483e-03 | 0.723047 | 0.038246 | 3.329183 | 0.020140 | 14540.5696 |
| 9040.600 | -18.423 | 4.781411e-03 | 0.723649 | 0.038104 | 3.327903 | 0.020247 | 14540.4486 |
| 9040.599 | -18.474 | 4.778419e-03 | 0.721957 | 0.037831 | 3.327077 | 0.020190 | 14539.6899 |
| 9040.485 | 21.833 | 7.237264e-03 | 0.853106 | 0.021385 | 0.428236 | 0.005600 | 14493.6112 |
| 9040.486 | -21.638 | 7.338429e-03 | 0.852659 | -0.021645 | 3.572956 | 0.005768 | 14493.4562 |
| 9040.560 | 16.020 | 3.813692e-02 | 0.451120 | -0.036111 | 5.832287 | 0.029021 | 14442.1276 |
| 9040.562 | 16.034 | 3.693063e-02 | 0.451485 | -0.036022 | 5.837981 | 0.028838 | 14442.0423 |
| 9040.563 | -16.102 | 3.670839e-02 | 0.453184 | -0.035688 | 3.586091 | 0.028554 | 14442.0328 |
| 9040.560 | 16.066 | 3.803002e-02 | 0.452539 | 0.036066 | 0.451648 | 0.029044 | 14442.0234 |
| 9040.562 | 16.071 | 3.716485e-02 | 0.452967 | 0.035948 | 0.447240 | 0.028911 | 14442.0060 |
| 9040.561 | -16.027 | 3.718029e-02 | 0.451961 | 0.036135 | 2.696141 | 0.029070 | 14441.9872 |
| 9040.562 | 16.140 | 3.748747e-02 | 0.453527 | 0.035673 | 0.448611 | 0.028593 | 14441.9838 |
| 9040.562 | 16.063 | 3.700769e-02 | 0.452366 | -0.035833 | 5.836470 | 0.028664 | 14441.9789 |
| 9040.562 | 16.054 | 3.657043e-02 | 0.451969 | 0.035862 | 0.442035 | 0.028804 | 14441.9264 |
| 9040.561 | 16.093 | 3.769106e-02 | 0.452660 | 0.035848 | 0.449700 | 0.028791 | 14441.9225 |
| 9040.562 | -16.057 | 3.741482e-02 | 0.451793 | 0.035984 | 2.694015 | 0.028830 | 14441.9139 |
| 9040.561 | 16.110 | 3.673986e-02 | 0.452575 | -0.035841 | 5.839898 | 0.028912 | 14441.8890 |
| 9040.562 | -16.045 | 3.794060e-02 | 0.451561 | -0.036021 | 3.591945 | 0.028925 | 14441.8819 |
| 9040.563 | 16.128 | 3.695428e-02 | 0.453593 | 0.035728 | 0.445812 | 0.028626 | 14441.8723 |
| 9040.562 | -16.084 | 3.652092e-02 | 0.452195 | 0.036028 | 2.699100 | 0.028990 | 14441.8504 |
| 9040.561 | -16.087 | 3.798628e-02 | 0.452668 | 0.035816 | 2.689817 | 0.028729 | 14441.8464 |
| 9040.561 | 16.044 | 3.811807e-02 | 0.451545 | -0.035891 | 5.832463 | 0.028814 | 14441.8419 |
| 9040.561 | 16.073 | 3.702379e-02 | 0.452697 | 0.035951 | 0.445439 | 0.028997 | 14441.8377 |
| 9040.561 | 16.086 | 3.719614e-02 | 0.452287 | 0.035787 | 0.446565 | 0.028711 | 14441.7924 |
| 9040.562 | -16.065 | 3.704962e-02 | 0.452296 | 0.035922 | 2.695774 | 0.028778 | 14441.7183 |