MOA-2021-BLG-237 / KMT-2021-BLG-1679
Main| parameter | static | parallax | PSPL | FSPL |
|---|---|---|---|---|
| t0 (HJD) | 9383.46099 ± 3.15e-01 | 9387.02280 ± 2.37e-01 | 9403.32937 ± 1.47e-03 | 9403.32961 ± 1.55e-03 |
| tE(days) | 36.56 ± 4.68e-01 | 75.05 ± 8.82e-01 | 6.07 ± 4.60e-01 | 5.72 ± 5.78e-01 |
| u0 | 0.546638 ± 1.04e-02 | -0.443220 ± 5.42e-03 | 0.019284 ± 1.60e-03 | 0.021239 ± 2.09e-03 |
| q | 1.992579e-01 ± 6.92e-03 | 6.946478e-02 ± 2.12e-03 | ||
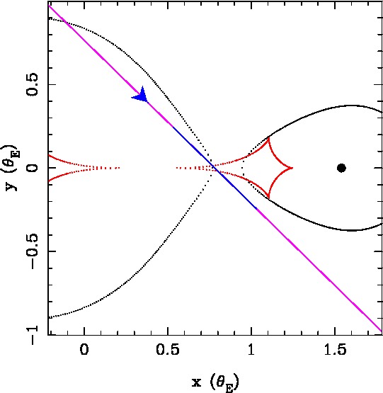
| s | 1.847459 ± 7.51e-03 | 1.100550 ± 4.24e-03 | ||
| α | 0.774393 ± 1.43e-02 | 5.197585 ± 5.98e-03 | ||
| ρ | 0.001081 ± 4.43e-05 | 0.000858 ± 2.97e-05 | 0.010429 ± 1.72e-03 | |
| πE | 0.000000 ± 0.00e+00 | 1.066004 ± 4.79e-02 | 0.000000 ± 0.00e+00 | 0.000000 ± 0.00e+00 |
| πEN | 0.000000 ± 0.00e+00 | 0.328867 ± 4.12e-02 | 0.000000 ± 0.00e+00 | 0.000000 ± 0.00e+00 |
| πEE | 0.000000 ± 0.00e+00 | -1.014007 ± 3.86e-02 | 0.000000 ± 0.00e+00 | 0.000000 ± 0.00e+00 |
| χE | 0.000000 ± 0.00e+00 | 0.000000 ± 0.00e+00 | 0.000000 ± 0.00e+00 | 0.000000 ± 0.00e+00 |
| ω(rad/day) | 0.000000 ± 0.00e+00 | 0.000000e+00 ± 0.00e+00 | ||
| ds/dt | 0.000000 ± 0.00e+00 | 0.000000e+00 ± 0.00e+00 | ||
| χ²/dof | 7805.375/(2016-13)= 3.897 | 7711.315/(2016-15)= 3.854 | 40036.132/(2016-9)= 19.948 | 40028.852/(2016-10)= 19.955 |
| Δχ² | -94.060202842219 | 32230.757 | 32223.477 |
| Tel-band | Ndata | χ² | Fs | σFs | Fb | σFb | Ms(mag) | σMs | Mb(mag) | σMb |
|---|---|---|---|---|---|---|---|---|---|---|
| MOA-Red | 856 | 1815.939121 | 2.04257e+03 | 3.71209e+01 | -2.85558e+03 | 6.33671e+01 | 19.225 | 0.020 | 0.000 | 0.000 |
| KMT-CTIO-I | 771 | 3943.776365 | 1.39670e+03 | 2.35709e+01 | -1.32029e+03 | 2.31182e+01 | 16.137 | 0.018 | 0.000 | 0.000 |
| KMT-SAAO-I | 389 | 2045.659554 | 2.38342e+03 | 3.95722e+01 | -2.26383e+03 | 3.79303e+01 | 15.557 | 0.018 | 0.000 | 0.000 |



| t0(HJD-2450000) | tE(day) | q | s | u0 | α(radian) | ρ | χ² |
|---|---|---|---|---|---|---|---|
| 9445.101 | 109.425 | 1.000000e+00 | 2.238721 | -0.515609 | 0.942478 | 0.000514 | 8270.0378 |
| 9403.201 | 90.089 | 9.863576e-01 | 1.608723 | -0.628096 | 1.585448 | 0.000625 | 8252.6454 |
| 9404.022 | 75.539 | 2.511886e-02 | 1.584893 | -0.794297 | 4.712389 | 0.000852 | 8250.3030 |
| 9404.852 | 314.942 | 1.665937e-01 | 0.497091 | 0.030593 | 4.803081 | 0.000163 | 8247.6018 |
| 9387.591 | 104.518 | 5.128768e-01 | 1.784723 | 0.936231 | 1.403763 | 0.000597 | 8246.1795 |
| 9415.304 | 138.173 | 1.065612e-02 | 1.444590 | 0.615182 | 1.702533 | 0.000499 | 8245.7892 |
| 9407.404 | 101.409 | 1.574791e-02 | 1.517329 | -0.719816 | 4.666189 | 0.000653 | 8244.6783 |
| 9404.204 | 160.252 | 1.161973e-02 | 1.185440 | 0.489446 | 1.573132 | 0.000393 | 8238.2845 |
| 9418.244 | 172.496 | 8.994688e-03 | 1.387271 | -0.515990 | 4.554139 | 0.000379 | 8232.6880 |
| 9413.122 | 119.247 | 1.211521e-02 | 1.301924 | 0.635416 | 1.690720 | 0.000505 | 8228.7609 |
| 9404.912 | 437.590 | 1.273049e-01 | 0.472499 | 0.022617 | 4.806893 | 0.000120 | 8228.0055 |
| 9404.328 | 150.363 | 1.091041e-02 | 1.224315 | -0.536158 | 4.708570 | 0.000426 | 8226.4782 |
| 9404.022 | 100.146 | 2.511886e-02 | 1.258925 | 0.617553 | 1.570796 | 0.000626 | 8224.9159 |
| 9404.907 | 472.593 | 1.192369e-01 | 0.467329 | 0.021021 | 4.805867 | 0.000110 | 8224.0150 |
| 9383.502 | 89.114 | 6.309573e-02 | 1.122018 | 0.454661 | 1.099557 | 0.000714 | 8223.5233 |
| 9403.945 | 100.259 | 1.211532e+00 | 1.663635 | 0.601915 | 1.569474 | 0.000543 | 8221.1373 |
| 9404.103 | 142.132 | 1.639168e-02 | 1.422782 | -0.519706 | 4.711278 | 0.000466 | 8218.6507 |
| 9403.943 | 98.287 | 2.282235e-02 | 1.280200 | 0.638643 | 1.569532 | 0.000635 | 8215.8003 |
| 9401.033 | 111.576 | 3.063624e-02 | 1.477996 | 0.525037 | 1.519889 | 0.000597 | 8209.1486 |
| 9403.858 | 104.492 | 2.061648e-02 | 1.273103 | 0.625909 | 1.568283 | 0.000592 | 8202.0090 |
| 9404.448 | -107.918 | 1.938175e-02 | 1.269643 | -0.619000 | 4.718798 | 0.000594 | 8201.7670 |
| 9404.925 | 109.624 | 1.834239e-02 | 1.270961 | 0.618156 | 1.584182 | 0.000567 | 8201.4951 |
| 9394.098 | 121.546 | 2.361938e-02 | 1.178734 | -0.512751 | 4.870842 | 0.000544 | 8193.0685 |
| 9403.834 | 118.982 | 1.703633e-02 | 1.252558 | 0.592499 | 1.568129 | 0.000529 | 8192.5753 |
| 9403.767 | 114.807 | 1.763906e-02 | 1.257645 | -0.600077 | 4.716095 | 0.000562 | 8192.3445 |
| 9403.367 | -121.254 | 1.663404e-02 | 1.247103 | 0.584562 | 1.580062 | 0.000528 | 8191.3436 |
| 9403.839 | 87.868 | 2.990601e-02 | 1.528921 | -0.657006 | 4.715539 | 0.000749 | 8173.0912 |
| 9403.966 | 92.426 | 2.654257e-02 | 1.521772 | -0.661463 | 4.713283 | 0.000720 | 8169.9207 |
| 9387.736 | -70.449 | 1.093851e-01 | 1.271565 | 0.640926 | 1.919172 | 0.000945 | 8152.4166 |
| 9394.577 | 95.903 | 3.193232e-02 | 1.241274 | -0.600093 | 4.875753 | 0.000678 | 8145.4814 |
| 9393.516 | 93.137 | 3.262214e-02 | 1.255840 | 0.616049 | 1.388892 | 0.000695 | 8145.0393 |
| 9389.924 | 65.692 | 1.461615e-01 | 1.085448 | 0.447886 | 1.119973 | 0.000975 | 8144.7437 |
| 9385.152 | 86.054 | 5.034628e-02 | 1.263196 | 0.617756 | 1.228106 | 0.000791 | 8137.4318 |
| 9394.779 | 75.243 | 5.014236e-02 | 1.578109 | -0.640837 | 4.901315 | 0.000830 | 8097.2760 |
| 9386.704 | 88.579 | 5.072959e-02 | 1.198950 | -0.548614 | 5.056372 | 0.000758 | 8086.7362 |
| 9388.349 | 79.553 | 6.229243e-02 | 1.219636 | -0.580239 | 5.041531 | 0.000828 | 8067.1517 |
| 9385.046 | 77.836 | 7.764937e-02 | 1.198097 | -0.546645 | 5.134301 | 0.000844 | 8032.2358 |
| 9389.042 | 53.439 | 5.665105e-02 | 1.671873 | -0.778200 | 5.056786 | 0.001033 | 8031.6846 |
| 9388.711 | 61.548 | 1.370284e-01 | 1.687176 | -0.478618 | 5.190897 | 0.000896 | 7991.3553 |
| 9383.461 | 36.557 | 1.992579e-01 | 1.847459 | 0.546638 | 0.774393 | 0.001081 | 7805.3750 |