MOA-2021-BLG-286 / KMT-2021-BLG-1747
Main| parameter | static | parallax | PSPL | FSPL |
|---|---|---|---|---|
| t0 (HJD) | 9426.36142 ± 2.92e-01 | 9426.53162 ± 1.24e-01 | 9424.64167 ± 6.12e-03 | 9424.63346 ± 6.03e-03 |
| tE(days) | 24.23 ± 5.75e-01 | 24.91 ± 4.67e-01 | -599.80 ± 2.23e+01 | 595.56 ± 1.92e+01 |
| u0 | -0.446783 ± 2.37e-03 | -0.447992 ± 8.70e-04 | 0.000879 ± 3.92e-05 | 0.001159 ± 4.95e-05 |
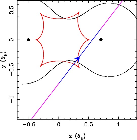
| q | 7.200548e-01 ± 2.47e-02 | 7.070115e-01 ± 2.72e-02 | ||
| s | 1.214696 ± 7.00e-03 | 1.204407 ± 4.15e-03 | ||
| α | 5.365986 ± 1.18e-02 | 5.380514 ± 2.15e-02 | ||
| ρ | 0.001547 ± 4.32e-05 | 0.001555 ± 6.48e-05 | 0.001244 ± 5.08e-05 | |
| πE | 0.000000 ± 0.00e+00 | 0.722702 ± 4.06e-01 | 0.000000 ± 0.00e+00 | 0.000000 ± 0.00e+00 |
| πEN | 0.000000 ± 0.00e+00 | -0.405190 ± 4.81e-01 | 0.000000 ± 0.00e+00 | 0.000000 ± 0.00e+00 |
| πEE | 0.000000 ± 0.00e+00 | -0.598431 ± 3.34e-01 | 0.000000 ± 0.00e+00 | 0.000000 ± 0.00e+00 |
| χE | 0.000000 ± 0.00e+00 | 0.000000 ± 0.00e+00 | 0.000000 ± 0.00e+00 | 0.000000 ± 0.00e+00 |
| ω(rad/day) | 0.000000 ± 0.00e+00 | 0.000000e+00 ± 0.00e+00 | ||
| ds/dt | 0.000000 ± 0.00e+00 | 0.000000e+00 ± 0.00e+00 | ||
| χ²/dof | 31942.981/(12839-15)= 2.491 | 31938.795/(12839-17)= 2.491 | 43222.980/(12839-11)= 3.369 | 42854.359/(12839-12)= 3.341 |
| Δχ² | -4.18552907424601 | 11279.999 | 10911.378 |
| Tel-band | Ndata | χ² | Fs | σFs | Fb | σFb | Ms(mag) | σMs | Mb(mag) | σMb |
|---|---|---|---|---|---|---|---|---|---|---|
| MOA-Red | 11822 | 29237.573117 | 3.01901e+03 | 4.58396e+01 | -2.56155e+03 | 4.59417e+01 | 18.800 | 0.016 | 0.000 | 0.000 |
| KMT-SSO-I | 202 | 871.053473 | 2.67269e+03 | 4.37624e+01 | -2.86801e+03 | 4.75691e+01 | 15.433 | 0.018 | 0.000 | 0.000 |
| KMT-CTIO-I | 538 | 1084.403645 | 2.87007e+03 | 3.69308e+01 | -2.92719e+03 | 3.58660e+01 | 15.355 | 0.014 | 0.000 | 0.000 |
| KMT-SAAO-I | 277 | 749.950356 | 2.84175e+03 | 4.21997e+01 | -2.87952e+03 | 4.20425e+01 | 15.366 | 0.016 | 0.000 | 0.000 |



| t0(HJD-2450000) | tE(day) | q | s | u0 | α(radian) | ρ | χ² |
|---|---|---|---|---|---|---|---|
| 9423.831 | 41.167 | 2.304314e+00 | 0.514303 | -0.060832 | 6.099995 | 0.000941 | 4497.8876 |
| 9423.837 | 44.013 | 2.183565e+00 | 0.497087 | 0.057938 | 0.191036 | 0.000865 | 4497.5506 |
| 9423.443 | -27.270 | 1.684405e-01 | 0.804647 | -0.196479 | 4.752183 | 0.001582 | 4496.9674 |
| 9423.885 | 39.818 | 3.466403e+00 | 0.557517 | -0.059963 | 6.130664 | 0.000738 | 4496.9277 |
| 9424.298 | 28.793 | 1.343015e-01 | 0.807899 | -0.185518 | 4.500849 | 0.001473 | 4496.7956 |
| 9423.798 | 29.430 | 1.603433e-01 | 0.776731 | 0.176013 | 1.686393 | 0.001485 | 4496.6892 |
| 9424.313 | 30.979 | 1.422498e-01 | 0.780776 | 0.173415 | 1.784541 | 0.001395 | 4496.6624 |
| 9427.864 | -30.487 | 5.134883e-02 | 0.939718 | -0.196456 | 5.399156 | 0.001029 | 4496.3172 |
| 9423.345 | 27.197 | 2.238210e-01 | 1.702537 | -0.035860 | 4.597935 | 0.001651 | 4496.1970 |
| 9426.426 | 29.350 | 7.282557e-02 | 0.903054 | -0.206099 | 4.199844 | 0.001305 | 4494.9894 |
| 9423.400 | 26.336 | 1.750094e-01 | 0.817354 | 0.205517 | 1.601255 | 0.000998 | 4494.7129 |
| 9423.148 | 29.132 | 2.534007e-01 | 1.764429 | -0.021814 | 1.696811 | 0.001042 | 4494.7128 |
| 9424.095 | 28.293 | 1.412732e-01 | 0.811929 | -0.191847 | 4.543840 | 0.001544 | 4494.6254 |
| 9423.959 | 39.070 | 2.261275e+00 | 0.547945 | 0.074380 | 0.216339 | 0.000728 | 4494.6250 |
| 9426.035 | -28.378 | 7.808369e-02 | 0.902678 | -0.212831 | 5.172444 | 0.001431 | 4494.5721 |
| 9423.461 | 26.617 | 2.129538e-01 | 1.676937 | -0.063200 | 4.579955 | 0.001736 | 4494.5624 |
| 9423.841 | 42.322 | 3.836069e-01 | 0.525145 | 0.061909 | 3.304320 | 0.000849 | 4494.5582 |
| 9423.166 | -29.682 | 2.395296e-01 | 1.756434 | -0.012244 | 1.413508 | 0.001034 | 4494.5569 |
| 9431.961 | 30.055 | 1.414770e-02 | 1.101382 | -0.196486 | 3.711264 | 0.000931 | 4494.0185 |
| 9424.285 | 28.640 | 1.345400e-01 | 0.824999 | 0.198960 | 1.764840 | 0.001526 | 4492.8373 |
| 9424.056 | 26.654 | 1.281208e-01 | 0.870784 | -0.230677 | 4.571554 | 0.001602 | 4492.2912 |
| 9424.783 | 30.339 | 1.259796e-01 | 0.825125 | -0.196081 | 4.440562 | 0.001012 | 4491.9215 |
| 9421.879 | 17.332 | 4.935409e-01 | 1.339431 | 0.489772 | 0.839184 | 0.002017 | 4491.5505 |
| 9424.475 | 26.901 | 1.148447e-01 | 0.880107 | -0.229931 | 4.501767 | 0.001574 | 4491.0472 |
| 9426.022 | -28.793 | 8.577552e-02 | 0.897678 | 0.217089 | 1.126892 | 0.001100 | 4490.3774 |
| 9424.889 | 27.992 | 1.568739e-02 | 0.959294 | 0.179236 | 5.747042 | 0.000933 | 4488.8391 |
| 9424.606 | -25.944 | 1.332952e-01 | 1.557060 | -0.156255 | 5.038125 | 0.001686 | 4488.4686 |
| 9423.845 | 35.939 | 3.982608e-01 | 0.590015 | -0.088080 | 2.996168 | 0.000750 | 4488.4337 |
| 9424.440 | 24.978 | 1.437103e-01 | 1.561130 | 0.165664 | 1.853075 | 0.001196 | 4486.9918 |
| 9423.820 | 33.677 | 3.052203e+00 | 0.638037 | 0.102726 | 0.130652 | 0.000971 | 4486.1681 |
| 9427.656 | 23.830 | 1.409500e+00 | 1.173097 | 0.440783 | 4.093746 | 0.001547 | 4485.3103 |
| 9423.902 | 31.816 | 3.564250e-01 | 0.654272 | 0.113118 | 3.289548 | 0.000849 | 4484.6474 |
| 9427.162 | 26.352 | 5.534598e-02 | 1.004628 | 0.267943 | 2.102571 | 0.001590 | 4484.5076 |
| 9423.938 | 30.581 | 3.495875e-01 | 0.692774 | 0.138435 | 3.300510 | 0.000920 | 4483.6717 |
| 9427.312 | 25.127 | 5.050824e-02 | 1.049379 | -0.304470 | 4.199009 | 0.001243 | 4482.5222 |
| 9423.648 | 25.055 | 3.834728e-01 | 0.797902 | -0.261765 | 3.003096 | 0.001171 | 4482.2532 |
| 9423.599 | 26.692 | 3.642337e-01 | 0.738698 | 0.178391 | 3.239492 | 0.001030 | 4481.7064 |
| 9424.896 | 21.411 | 1.200229e+00 | 1.237783 | 0.441554 | 3.984683 | 0.001559 | 4478.7243 |
| 9425.254 | 21.784 | 6.895369e-01 | 1.231639 | -0.453828 | 5.393536 | 0.001626 | 4477.7943 |
| 9422.510 | 17.764 | 5.678812e-02 | 0.839612 | -0.484822 | 0.833125 | 0.002069 | 4465.6779 |