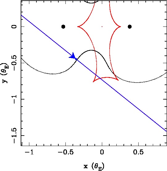
MOA-bin-115
Main| parameter | static | parallax | PSPL | FSPL | 
|---|---|---|---|---|
| t0 (HJD) | 6925.44252 ± 2.00e-01 | 6927.97600 ± 4.03e-01 | 6928.30783 ± 1.56e-01 | 6928.30438 ± 1.53e-01 | 
| tE(days) | 25.59 ± 1.41e-01 | 28.84 ± 3.75e-01 | -5.16 ± 5.62e-01 | 4.92 ± 6.85e-01 | 
| u0 | -0.570766 ± 3.55e-03 | -0.521481 ± 6.03e-03 | 6.555041 ± 5.15e-01 | 6.905511 ± 6.95e-01 | 
| q | 1.397671e+00 ± 5.02e-02 | 6.238423e-01 ± 2.78e-02 | ||
| s | 0.913042 ± 5.34e-03 | 0.980186 ± 8.53e-03 | ||
| α | 0.675874 ± 7.12e-03 | 3.744401 ± 9.42e-03 | ||
| ρ | 0.009263 ± 5.22e-04 | 0.009748 ± 5.92e-04 | 0.015370 ± 9.05e-03 | |
| πE | 0.000000 ± 0.00e+00 | 1.705438 ± 1.50e-01 | 0.000000 ± 0.00e+00 | 0.000000 ± 0.00e+00 | 
| πEN | 0.000000 ± 0.00e+00 | -1.685974 ± 1.43e-01 | 0.000000 ± 0.00e+00 | 0.000000 ± 0.00e+00 | 
| πEE | 0.000000 ± 0.00e+00 | 0.256929 ± 8.17e-02 | 0.000000 ± 0.00e+00 | 0.000000 ± 0.00e+00 | 
| χE | 0.000000 ± 0.00e+00 | 0.000000 ± 0.00e+00 | 0.000000 ± 0.00e+00 | 0.000000 ± 0.00e+00 | 
| ω(rad/day) | 0.000000 ± 0.00e+00 | 0.000000e+00 ± 0.00e+00 | ||
| ds/dt | 0.000000 ± 0.00e+00 | 0.000000e+00 ± 0.00e+00 | ||
| χ²/dof | 57842.241/(41784-11)= 1.385 | 57802.831/(41784-13)= 1.384 | 70621.973/(41784-7)= 1.690 | 70621.609/(41784-8)= 1.690 | 
| Δχ² | -39.4103492442373 | 12779.732 | 12779.368 | 
| Tel-band | Ndata | χ² | Fs | σFs | Fb | σFb | Ms(mag) | σMs | Mb(mag) | σMb | 
|---|---|---|---|---|---|---|---|---|---|---|
| MOA-Red | 31141 | 26607.570532 | 7.36721e+03 | 5.85139e+01 | -7.37104e+03 | 5.85560e+01 | 17.832 | 0.009 | 0.000 | 0.000 | 
| OGLE-I | 10643 | 31234.670094 | 2.73416e+02 | 1.75413e+00 | 2.30718e+01 | 1.75598e+00 | 17.908 | 0.007 | 20.592 | 0.083 | 



| t0(HJD-2450000) | tE(day) | q | s | u0 | α(radian) | ρ | χ² | 
|---|---|---|---|---|---|---|---|
| 6925.780 | 25.627 | 1.518850e+00 | 0.919757 | -0.579956 | 0.678809 | 0.016675 | 57897.7044 | 
| 6925.827 | 25.592 | 6.478343e-01 | 0.920014 | -0.579062 | 3.816943 | 0.016487 | 57897.6551 | 
| 6925.743 | 25.584 | 1.546182e+00 | 0.917826 | -0.579599 | 0.675585 | 0.016294 | 57897.6516 | 
| 6925.813 | 25.643 | 1.537450e+00 | 0.920240 | -0.579894 | 0.675666 | 0.017466 | 57895.1730 | 
| 6925.771 | -25.521 | 6.578686e-01 | 0.917562 | 0.581740 | 0.676371 | 0.016269 | 57894.7629 | 
| 6925.861 | 25.638 | 1.520675e+00 | 0.921909 | -0.579553 | 0.677609 | 0.017797 | 57894.5774 | 
| 6925.805 | 25.599 | 1.534005e+00 | 0.919450 | -0.580498 | 0.674854 | 0.017966 | 57894.4925 | 
| 6925.840 | 25.625 | 6.559996e-01 | 0.921527 | 0.579235 | 2.463369 | 0.017928 | 57894.3228 | 
| 6925.842 | -25.652 | 6.588116e-01 | 0.921077 | 0.580395 | 0.676312 | 0.017859 | 57894.3155 | 
| 6925.814 | 25.626 | 6.662498e-01 | 0.920784 | 0.580589 | 2.460845 | 0.016722 | 57894.2861 | 
| 6925.777 | 25.612 | 1.520147e+00 | 0.918658 | 0.581950 | 5.607009 | 0.017329 | 57894.2431 | 
| 6925.850 | 25.642 | 6.632750e-01 | 0.921451 | 0.580672 | 2.463259 | 0.017408 | 57894.0971 | 
| 6925.834 | 25.620 | 1.504886e+00 | 0.920876 | 0.581111 | 5.604212 | 0.017416 | 57893.2311 | 
| 6924.986 | 25.575 | 1.228455e+00 | 0.902799 | 0.581710 | 5.583192 | 0.009315 | 57857.0962 | 
| 6925.655 | 25.828 | 7.217306e-01 | 0.918946 | -0.570258 | 3.811725 | 0.009204 | 57846.4934 | 
| 6925.325 | 25.588 | 7.338785e-01 | 0.910784 | -0.572477 | 3.824092 | 0.008689 | 57845.2423 | 
| 6925.491 | 25.628 | 7.143868e-01 | 0.914672 | -0.569469 | 3.816597 | 0.009161 | 57842.8438 | 
| 6925.427 | 25.593 | 1.383403e+00 | 0.912327 | 0.572136 | 5.607068 | 0.009291 | 57842.6877 | 
| 6925.560 | -25.646 | 1.404326e+00 | 0.915860 | 0.569782 | 3.814358 | 0.009267 | 57842.6653 | 
| 6925.483 | 25.621 | 7.149631e-01 | 0.914499 | -0.569991 | 3.817247 | 0.009593 | 57842.6175 | 
| 6925.507 | -25.630 | 1.409370e+00 | 0.915257 | 0.569093 | 3.816542 | 0.009587 | 57842.6044 | 
| 6925.530 | 25.645 | 1.405279e+00 | 0.915376 | 0.569664 | 5.609325 | 0.009155 | 57842.5759 | 
| 6925.521 | 25.659 | 1.409503e+00 | 0.915584 | 0.569243 | 5.609018 | 0.009477 | 57842.5612 | 
| 6925.423 | 25.539 | 1.410840e+00 | 0.912075 | 0.570532 | 5.608374 | 0.009501 | 57842.5575 | 
| 6925.451 | 25.577 | 1.408933e+00 | 0.913159 | 0.570087 | 5.608277 | 0.009446 | 57842.5406 | 
| 6925.504 | 25.621 | 7.181117e-01 | 0.914654 | 0.570527 | 2.466327 | 0.009484 | 57842.4886 | 
| 6925.403 | 25.583 | 1.392102e+00 | 0.912279 | 0.571085 | 5.605420 | 0.009248 | 57842.4822 | 
| 6925.494 | 25.624 | 7.144421e-01 | 0.914586 | 0.569910 | 2.466281 | 0.009195 | 57842.4148 | 
| 6925.501 | 25.606 | 7.105962e-01 | 0.914518 | -0.569676 | 3.815717 | 0.009458 | 57842.4140 | 
| 6925.404 | 25.585 | 1.391460e+00 | 0.912200 | 0.571189 | 5.606147 | 0.009300 | 57842.3676 | 
| 6925.495 | 25.610 | 1.407733e+00 | 0.914579 | 0.569550 | 5.608376 | 0.009362 | 57842.3671 | 
| 6925.471 | -25.608 | 7.153687e-01 | 0.913581 | 0.570740 | 0.674434 | 0.009289 | 57842.3581 | 
| 6925.521 | 25.627 | 1.406493e+00 | 0.915109 | 0.569472 | 5.609435 | 0.009265 | 57842.3441 | 
| 6925.505 | 25.623 | 1.406866e+00 | 0.914479 | -0.570209 | 0.673671 | 0.009328 | 57842.3316 | 
| 6925.520 | 25.648 | 7.117802e-01 | 0.915386 | 0.569517 | 2.467229 | 0.009332 | 57842.3257 | 
| 6925.473 | 25.628 | 1.394183e+00 | 0.913844 | 0.570859 | 5.608077 | 0.009231 | 57842.3182 | 
| 6925.513 | 25.635 | 1.407946e+00 | 0.914986 | -0.569587 | 0.673896 | 0.009278 | 57842.3030 | 
| 6925.441 | -25.587 | 1.390313e+00 | 0.912869 | -0.571310 | 2.465569 | 0.009425 | 57842.2475 | 
| 6925.486 | 25.608 | 7.114266e-01 | 0.914162 | -0.569880 | 3.816037 | 0.009319 | 57842.2475 | 
| 6925.443 | 25.594 | 1.397671e+00 | 0.913042 | -0.570766 | 0.675874 | 0.009263 | 57842.2406 |