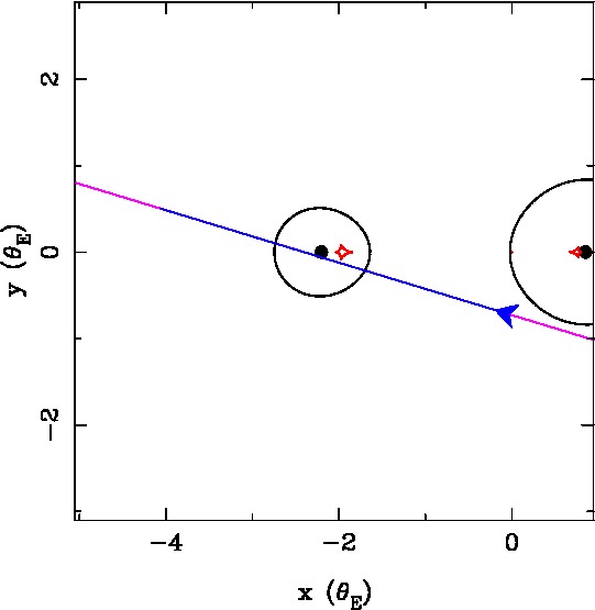
MOA-bin-224
Main| parameter | static | parallax | PSPL | FSPL |
|---|---|---|---|---|
| t0 (HJD) | 3852.06209 ± 1.06e+01 | 3527.92520 ± 2.96e+01 | 3948.44369 ± 8.18e-02 | 3948.52205 ± 7.51e-02 |
| tE(days) | 51.63 ± 2.62e+00 | 298.97 ± 2.16e+01 | 331.58 ± 1.29e+02 | 199.92 ± 3.18e+01 |
| u0 | 0.697129 ± 4.66e-02 | -1.655320 ± 7.55e-02 | 0.007437 ± 3.17e-03 | 0.017368 ± 3.86e-03 |
| q | 2.581510e+00 ± 4.46e-01 | 3.608836e-03 ± 9.15e-04 | ||
| s | 3.055818 ± 6.87e-02 | 2.592446 ± 5.00e-02 | ||
| α | 3.436258 ± 1.94e-02 | 5.438596 ± 1.95e-02 | ||
| ρ | 0.002993 ± 5.72e-03 | 0.000822 ± 1.69e-03 | 0.017992 ± 3.97e-03 | |
| πE | 0.000000 ± 0.00e+00 | 0.100854 ± 2.03e-02 | 0.000000 ± 0.00e+00 | 0.000000 ± 0.00e+00 |
| πEN | 0.000000 ± 0.00e+00 | -0.067372 ± 1.62e-02 | 0.000000 ± 0.00e+00 | 0.000000 ± 0.00e+00 |
| πEE | 0.000000 ± 0.00e+00 | -0.075051 ± 2.27e-02 | 0.000000 ± 0.00e+00 | 0.000000 ± 0.00e+00 |
| χE | 0.000000 ± 0.00e+00 | 0.000000 ± 0.00e+00 | 0.000000 ± 0.00e+00 | 0.000000 ± 0.00e+00 |
| ω(rad/day) | 0.000000 ± 0.00e+00 | 0.000000e+00 ± 0.00e+00 | ||
| ds/dt | 0.000000 ± 0.00e+00 | 0.000000e+00 ± 0.00e+00 | ||
| χ²/dof | 18551.205/(20561-11)= 0.903 | 18464.686/(20561-13)= 0.899 | 18837.225/(20561-7)= 0.916 | 18810.441/(20561-8)= 0.915 |
| Δχ² | -86.5186647167138 | 286.020 | 259.236 |
| Tel-band | Ndata | χ² | Fs | σFs | Fb | σFb | Ms(mag) | σMs | Mb(mag) | σMb |
|---|---|---|---|---|---|---|---|---|---|---|
| MOA-Red | 19241 | 16711.613702 | 7.46753e+02 | 3.48776e+01 | -7.48533e+02 | 3.50927e+01 | 20.317 | 0.051 | 0.000 | 0.000 |
| OGLE-I | 1320 | 1839.591047 | -2.35978e-01 | 1.03008e-02 | 1.93099e+01 | 1.08644e-02 | 0.000 | 0.000 | 20.786 | 0.001 |





| t0(HJD-2450000) | tE(day) | q | s | u0 | α(radian) | ρ | χ² |
|---|---|---|---|---|---|---|---|
| 3950.997 | -24.661 | 9.555109e-02 | 0.773133 | 0.298882 | 1.193145 | 0.000762 | 18577.5425 |
| 3950.984 | 24.881 | 1.017367e-01 | 0.763741 | -0.293776 | 4.332687 | 0.003848 | 18577.5099 |
| 3950.982 | -25.003 | 1.005759e-01 | 0.764314 | 0.296659 | 1.196678 | 0.007672 | 18577.5049 |
| 3936.775 | 38.654 | 8.521531e-01 | 2.599120 | 0.981034 | 1.275788 | 0.000255 | 18576.9073 |
| 3934.411 | 40.351 | 1.251249e+00 | 2.668337 | 1.059418 | 4.398659 | 0.000221 | 18576.5740 |
| 3952.152 | 16.177 | 1.252503e+00 | 0.708173 | -0.786839 | 5.914813 | 0.000301 | 18576.5403 |
| 3950.247 | -20.113 | 3.208372e-01 | 0.802448 | 0.261744 | 1.216814 | 0.000395 | 18572.1308 |
| 3894.786 | 49.099 | 9.247175e-01 | 2.745761 | -0.393125 | 2.874823 | 0.002466 | 18568.0773 |
| 3898.572 | 45.374 | 1.040235e+00 | 2.701751 | 0.556949 | 3.490755 | 0.000931 | 18567.0574 |
| 3950.244 | -42.573 | 3.902977e-02 | 0.713812 | -0.100171 | 1.071413 | 0.020023 | 18566.6472 |
| 3950.287 | 42.792 | 4.040633e-02 | 0.710993 | 0.100215 | 4.215933 | 0.019764 | 18566.3312 |
| 3950.267 | 43.009 | 4.051636e-02 | 0.708294 | -0.099144 | 2.076397 | 0.019299 | 18565.9396 |
| 3878.741 | 50.183 | 1.302501e+00 | 2.892656 | 0.430774 | 3.383693 | 0.000630 | 18563.1345 |
| 3950.493 | 35.649 | 5.673517e-02 | 1.214552 | 0.151586 | 4.263360 | 0.026859 | 18562.6855 |
| 3950.460 | -36.218 | 5.650106e-02 | 1.227965 | 0.153636 | 5.168738 | 0.025080 | 18562.6676 |
| 3950.381 | 37.698 | 5.230427e-02 | 1.207298 | -0.139512 | 2.032259 | 0.028065 | 18562.6599 |
| 3950.341 | -38.067 | 5.383427e-02 | 1.233206 | -0.141938 | 1.102232 | 0.025083 | 18562.6541 |
| 3950.408 | 36.928 | 5.635089e-02 | 1.240753 | -0.150697 | 2.032285 | 0.024007 | 18562.6412 |
| 3950.413 | 38.538 | 5.330569e-02 | 1.222729 | 0.139854 | 4.250516 | 0.025254 | 18562.6392 |
| 3950.457 | -38.240 | 5.347947e-02 | 1.223303 | 0.141258 | 5.166693 | 0.025421 | 18562.6344 |
| 3950.498 | 36.378 | 5.847225e-02 | 1.241847 | 0.154943 | 4.262222 | 0.025404 | 18562.6305 |
| 3950.409 | -38.625 | 5.342513e-02 | 1.240733 | -0.142049 | 1.112676 | 0.023675 | 18562.6275 |
| 3950.348 | 38.907 | 5.225742e-02 | 1.225202 | 0.137446 | 4.243491 | 0.025090 | 18562.6127 |
| 3950.488 | -36.780 | 5.607556e-02 | 1.228894 | -0.149209 | 1.119939 | 0.025095 | 18562.5811 |
| 3950.482 | 36.863 | 5.615698e-02 | 1.234045 | 0.150254 | 4.261804 | 0.025207 | 18562.5668 |
| 3950.441 | -37.474 | 5.467966e-02 | 1.228822 | 0.146341 | 5.168022 | 0.025910 | 18562.5484 |
| 3950.399 | 38.099 | 5.375332e-02 | 1.223870 | -0.142124 | 2.033020 | 0.025931 | 18562.5467 |
| 3950.535 | 35.074 | 5.895674e-02 | 1.214973 | -0.157078 | 2.018723 | 0.028675 | 18562.5370 |
| 3950.411 | 36.487 | 5.482214e-02 | 1.216643 | 0.147370 | 4.252281 | 0.026243 | 18562.5249 |
| 3950.468 | 37.084 | 5.606236e-02 | 1.232642 | -0.149152 | 2.024669 | 0.025564 | 18562.5216 |
| 3950.427 | 37.614 | 5.359281e-02 | 1.218522 | 0.142772 | 4.255573 | 0.026155 | 18562.5015 |
| 3746.352 | 164.279 | 1.294103e-02 | 2.596601 | -1.721295 | 5.331520 | 0.003030 | 18559.1983 |
| 3870.369 | -51.077 | 1.540672e+00 | 2.986315 | 0.588315 | 5.995266 | 0.004901 | 18557.4820 |
| 3864.967 | 50.607 | 1.886226e+00 | 2.999178 | -0.645074 | 2.842171 | 0.003614 | 18553.0881 |
| 3862.999 | -49.456 | 4.630144e-01 | 3.005382 | -0.676178 | 3.444486 | 0.000965 | 18551.9029 |
| 3859.340 | -49.997 | 2.238445e+00 | 3.042872 | -0.669518 | 0.292450 | 0.002780 | 18551.7597 |
| 3858.782 | 50.821 | 4.544733e-01 | 3.040924 | 0.682682 | 0.302487 | 0.001503 | 18551.6658 |
| 3856.088 | 50.598 | 2.398939e+00 | 3.056168 | -0.692210 | 2.843735 | 0.001976 | 18551.4599 |
| 3850.196 | 52.109 | 2.605293e+00 | 3.076382 | 0.707429 | 3.440007 | 0.003640 | 18551.2453 |
| 3852.062 | 51.631 | 2.581510e+00 | 3.055818 | 0.697129 | 3.436258 | 0.002993 | 18551.2047 |