PRIME-2025-BLG-0307
Main| parameter | static | parallax | PSPL | FSPL |
|---|---|---|---|---|
| t0 (HJD) | 10862.12985 ± 6.34e-01 | 10874.23260 ± 7.07e-01 | 10882.74719 ± 2.52e-02 | 10882.74910 ± 2.32e-02 |
| tE(days) | -43.73 ± 1.78e+00 | 62.28 ± 1.60e+00 | -599.17 ± 5.31e+01 | -594.39 ± 6.63e+01 |
| u0 | 0.774071 ± 2.34e-02 | -0.251685 ± 5.77e-03 | 0.001856 ± 2.17e-04 | 0.001938 ± 3.12e-04 |
| q | 1.971559e-01 ± 2.47e-02 | 3.325271e+00 ± 1.46e-01 | ||
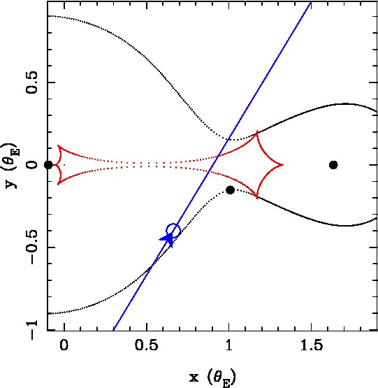
| s | 1.729960 ± 8.03e-03 | 0.920860 ± 6.28e-03 | ||
| α | 2.113113 ± 2.89e-02 | 1.988761 ± 1.52e-02 | ||
| ρ | 0.041185 ± 1.20e-03 | 0.008784 ± 9.34e-04 | 0.000992 ± 2.61e-04 | |
| πE | 0.000000 ± 0.00e+00 | 2.253616 ± 0.00e+00 | 0.000000 ± 0.00e+00 | 0.000000 ± 0.00e+00 |
| πEN | 0.000000 ± 0.00e+00 | -1.916944 ± 7.12e-02 | 0.000000 ± 0.00e+00 | 0.000000 ± 0.00e+00 |
| πEE | 0.000000 ± 0.00e+00 | -1.184952 ± 1.74e-01 | 0.000000 ± 0.00e+00 | 0.000000 ± 0.00e+00 |
| χE | 0.000000 ± 0.00e+00 | 0.000000 ± 0.00e+00 | 0.000000 ± 0.00e+00 | 0.000000 ± 0.00e+00 |
| ω(rad/day) | 0.000000 ± 0.00e+00 | 0.000000e+00 ± 0.00e+00 | ||
| ds/dt | 0.000000 ± 0.00e+00 | 0.000000e+00 ± 0.00e+00 | ||
| χ²/dof | 5409.294/(1226-9)= 4.445 | 5261.710/(1226-11)= 4.331 | 8396.317/(1226-5)= 6.877 | 8392.541/(1226-6)= 6.879 |
| Δχ² | -147.584480995061 | 2987.023 | 2983.247 |
| Tel-band | Ndata | χ² | Fs | σFs | Fb | σFb | Ms(mag) | σMs | Mb(mag) | σMb | Mag0 | Flux0 |
|---|---|---|---|---|---|---|---|---|---|---|---|---|
| PRIME-H | 1226 | 5408.282934 | 1.55252e+03 | 2.96887e+01 | -6.77772e+02 | 3.46116e+01 | 12.693 | 0.021 | 0.000 | 0.000 | 23.5537 | 20543.76 |





| tE(day) | q | s | α(radian) | ρ | χ² |
|---|---|---|---|---|---|
| 143.294 | 3.358081e+00 | 0.771558 | 2.802705 | 0.012838 | 5548.7923 |
| 144.918 | 3.168492e-01 | 0.761639 | 5.999850 | 0.012610 | 5548.7724 |
| -144.765 | 3.199824e+00 | 0.762142 | 0.285857 | 0.012765 | 5548.4678 |
| 146.391 | 3.125310e-01 | 0.762822 | 6.577315 | 0.012648 | 5548.3444 |
| 147.017 | 3.145854e-01 | 0.763268 | 5.985165 | 0.012492 | 5548.0757 |
| 147.890 | 3.159197e-01 | 0.763480 | 5.982166 | 0.012440 | 5548.0228 |
| -144.780 | 3.176614e-01 | 0.762605 | 2.854013 | 0.012708 | 5547.8951 |
| 143.902 | 3.219577e-01 | 0.763506 | 6.564639 | 0.012806 | 5547.8002 |
| 153.509 | 3.074072e-01 | 0.758988 | -0.286728 | 0.011954 | 5547.5538 |
| -227.748 | 3.017979e-01 | 1.477635 | 2.966582 | 0.011163 | 5544.1693 |
| -222.695 | 3.166532e-01 | 1.485601 | 2.972792 | 0.011545 | 5543.9000 |
| 177.342 | 3.710484e-01 | 1.377490 | 6.074249 | 0.014370 | 5543.8426 |
| 185.185 | 3.492718e-01 | 1.398030 | 0.208611 | 0.013929 | 5543.8073 |
| 222.781 | 3.185516e-01 | 1.488317 | 0.170160 | 0.011504 | 5543.6333 |
| 58.189 | 1.200553e-01 | 1.667994 | 1.364873 | 0.045062 | 5536.5765 |
| 85.613 | 2.511886e-02 | 1.412538 | 1.570796 | 0.019582 | 5522.6276 |
| 57.610 | 6.160330e-01 | 0.909682 | 4.815408 | 0.028908 | 5510.8028 |
| 57.680 | 6.216083e-01 | 0.909470 | 4.813171 | 0.029100 | 5510.7421 |
| -57.982 | 6.121937e-01 | 0.912137 | 4.608247 | 0.028953 | 5510.7270 |
| 58.018 | 1.635701e+00 | 0.913789 | 1.675421 | 0.028735 | 5510.7150 |
| 57.996 | 6.133378e-01 | 0.913608 | 4.813166 | 0.029078 | 5510.6824 |
| 57.737 | 6.296164e-01 | 0.912425 | 4.808123 | 0.029309 | 5510.5955 |
| 57.794 | 1.614473e+00 | 0.912426 | 4.611869 | 0.029135 | 5510.5922 |
| 58.740 | 1.006846e-01 | 1.703127 | 1.260159 | 0.038636 | 5470.6541 |
| 97.596 | 2.010638e-02 | 1.480967 | 4.579234 | 0.018528 | 5464.5472 |
| 98.952 | 1.929389e-02 | 1.482259 | 4.576563 | 0.018130 | 5464.1480 |
| 95.876 | 2.056472e-02 | 1.468856 | 4.587775 | 0.018768 | 5463.2262 |
| 102.651 | 1.792874e-02 | 1.489846 | 1.722820 | 0.017739 | 5463.0348 |
| 63.757 | 7.542948e-02 | 1.663268 | 1.284375 | 0.041456 | 5462.9765 |
| 100.688 | 1.916891e-02 | 1.480297 | 4.570776 | 0.017948 | 5461.0829 |
| 56.282 | 9.823718e-02 | 1.697095 | 5.097608 | 0.036882 | 5432.8897 |
| 56.450 | 9.732562e-02 | 1.688961 | 1.185693 | 0.037551 | 5432.6340 |
| 53.833 | 1.149893e-01 | 1.696859 | 5.126266 | 0.038591 | 5426.8572 |
| 53.582 | 1.147318e-01 | 1.701384 | 5.138509 | 0.037890 | 5426.5963 |
| 46.658 | 1.610002e-01 | 1.718278 | 5.197067 | 0.040277 | 5415.5708 |
| 42.833 | 1.986403e-01 | 1.728433 | 5.245531 | 0.041905 | 5411.6595 |
| 43.974 | 1.973525e-01 | 1.729566 | 5.248129 | 0.041265 | 5409.7331 |
| 43.361 | 2.036860e-01 | 1.731710 | 1.028087 | 0.041683 | 5409.6068 |
| 42.846 | 2.062372e-01 | 1.732488 | 1.021755 | 0.041661 | 5409.5911 |
| -43.725 | 1.971559e-01 | 1.729960 | 2.113113 | 0.041185 | 5409.2942 |