PRIME-2025-BLG-0435
Main
2025 list
v1
| parameter |
static |
parallax |
PSPL |
FSPL |
| t0 (HJD) | 10975.24721 ± 6.67e-01 | 10978.00576 ± 4.00e-01 | 11000.00340 ± 1.44e+00 | 11000.34932 ± 1.43e+00 |
| tE(days) | 26.57 ± 1.15e+00 | 23.21 ± 2.00e+00 | -43.74 ± 2.13e+00 | -43.24 ± 2.06e+00 |
| u0 | 0.788207 ± 3.46e-02 | 0.458531 ± 2.67e-02 | 0.002627 ± 7.42e-02 | 0.001228 ± 7.43e-02 |
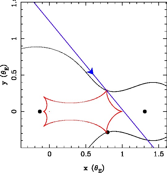
| q | 2.380761e-01 ± 1.16e-01 | 2.321850e-01 ± 3.35e-02 | | |
| s | 1.442598 ± 6.64e-02 | 0.850615 ± 2.95e-02 | | |
| α | 0.880995 ± 1.25e-01 | 1.142934 ± 2.65e-02 | | |
| ρ | 0.002261 ± 6.21e-03 | 0.026639 ± 2.29e-02 | | 0.056006 ± 2.06e-02 |
| πE | 0.000000 ± 0.00e+00 | 2.980827 ± 0.00e+00 | 0.000000 ± 0.00e+00 | 0.000000 ± 0.00e+00 |
| πEN | 0.000000 ± 0.00e+00 | -2.489820 ± 4.62e-01 | 0.000000 ± 0.00e+00 | 0.000000 ± 0.00e+00 |
| πEE | 0.000000 ± 0.00e+00 | 1.638940 ± 6.32e-01 | 0.000000 ± 0.00e+00 | 0.000000 ± 0.00e+00 |
| χE | 0.000000 ± 0.00e+00 | 0.000000 ± 0.00e+00 | 0.000000 ± 0.00e+00 | 0.000000 ± 0.00e+00 |
| ω(rad/day) | 0.000000 ± 0.00e+00 | 0.000000e+00 ± 0.00e+00 | | |
| ds/dt | 0.000000 ± 0.00e+00 | 0.000000e+00 ± 0.00e+00 | | |
| χ²/dof | 697.801/(518-9)= 1.371 | 688.420/(518-11)= 1.358 | 1179.446/(518-5)= 2.299 | 1175.991/(518-6)= 2.297 |
| Δχ² | | -9.38093967075599 | 481.645 | 478.190 |
| Tel-band |
Ndata |
χ² |
Fs |
σFs |
Fb |
σFb |
Ms(mag) |
σMs |
Mb(mag) |
σMb |
Mag0 |
Flux0 |
| PRIME-H | 518 | 697.801244 | 1.45289e+04 | 1.02959e+03 | -1.45854e+04 | 1.02965e+03 | 13.057 | 0.077 | 0.000 | 0.000 | 23.6145 | 2176.11 |





| tE(day) |
q |
s |
α(radian) |
ρ |
χ² |
| 28.823 | 1.634528e-01 | 2.035089 | 5.094522 | 0.053264 | 702.0753 |
| 27.621 | 1.528747e-01 | 2.056501 | 5.075324 | 0.061142 | 702.0512 |
| 20.070 | 3.792894e-02 | 0.607059 | 5.205915 | 0.014144 | 701.9386 |
| 18.192 | 3.454329e-02 | 0.544001 | 5.191792 | 0.012452 | 701.9021 |
| 30.199 | 2.167310e-01 | 2.098116 | 1.149784 | 0.044841 | 701.8671 |
| 14.628 | 3.004971e-02 | 0.435515 | 5.148648 | 0.001472 | 701.6402 |
| 32.538 | 1.570895e-01 | 0.914515 | 1.186536 | 0.008153 | 700.9903 |
| 32.357 | 1.659911e-01 | 0.907334 | 1.183175 | 0.003445 | 700.9403 |
| 32.769 | 1.656188e-01 | 0.896588 | 5.108021 | 0.002624 | 700.7830 |
| 18.069 | 7.597909e-01 | 0.520212 | 0.479189 | 0.029940 | 700.6160 |
| 20.102 | 6.093400e-01 | 0.600036 | 0.587364 | 0.061800 | 700.3565 |
| 30.545 | 9.677711e-01 | 0.643690 | 0.376710 | 0.003510 | 700.3071 |
| 26.136 | 1.032728e+00 | 1.847720 | 1.988862 | 0.003918 | 700.2171 |
| 19.350 | 5.956969e-01 | 0.570344 | 5.691304 | 0.057150 | 700.1753 |
| 30.305 | 1.089289e+00 | 0.646380 | 5.936890 | 0.002870 | 700.1655 |
| 24.739 | 9.644532e-01 | 0.809232 | 5.872354 | 0.045685 | 700.1205 |
| 19.245 | 8.519238e-01 | 0.496232 | 2.815033 | 0.069059 | 700.0371 |
| 24.586 | 1.234494e+00 | 0.807764 | 0.353680 | 0.053442 | 699.8958 |
| 15.032 | 3.454994e-01 | 0.407439 | 3.299449 | 0.002015 | 699.8237 |
| 25.809 | 7.279857e-01 | 0.868346 | 3.471969 | 0.049907 | 699.6657 |
| 27.534 | 6.385488e-01 | 0.991489 | 3.431193 | 0.003065 | 699.6295 |
| 13.789 | 3.330239e-01 | 0.392053 | 5.446777 | 0.057901 | 699.4475 |
| 15.922 | 5.462112e-01 | 0.447072 | 3.044243 | 0.062213 | 699.4135 |
| 27.251 | 1.535943e+00 | 0.961445 | 0.298328 | 0.024966 | 699.3949 |
| 19.580 | 9.476550e-01 | 0.544237 | 2.761856 | 0.001885 | 699.2766 |
| 26.868 | 1.428685e+00 | 0.935051 | 5.975032 | 0.027950 | 699.2474 |
| 14.223 | 9.828272e-01 | 0.397165 | 2.785155 | 0.002712 | 699.1888 |
| 14.874 | 4.637991e-01 | 0.422317 | 5.575379 | 0.061003 | 698.9580 |
| -15.543 | 2.363857e+00 | 0.399488 | 5.537270 | 0.044470 | 698.6273 |
| 26.789 | 3.352837e-01 | 1.362559 | 0.712713 | 0.023168 | 698.4457 |
| 27.426 | 3.316391e-01 | 1.340763 | 0.710236 | 0.031251 | 698.4442 |
| 29.230 | 8.225180e-01 | 0.641322 | 3.486994 | 0.044776 | 698.2676 |
| 28.303 | 1.105573e+00 | 0.630721 | 2.720476 | 0.042053 | 698.2432 |
| 28.031 | 1.111894e+00 | 0.634201 | 0.365425 | 0.042976 | 698.2095 |
| 28.260 | 1.045286e+00 | 0.633707 | 0.381696 | 0.041741 | 698.1327 |
| 25.945 | 2.637768e-01 | 1.414211 | 5.497053 | 0.023539 | 698.0826 |
| 26.019 | 2.678289e-01 | 1.405131 | 0.782912 | 0.012433 | 698.0361 |
| 25.852 | 3.924079e+00 | 1.420225 | 2.337831 | 0.005558 | 698.0327 |
| 26.500 | 2.993441e-01 | 1.385779 | 0.750912 | 0.008175 | 698.0215 |
| 26.571 | 2.380761e-01 | 1.442598 | 0.880995 | 0.002261 | 697.8012 |
model light curve
Last updated on 25/11/2025 0:30:40 JST